Product Images Trilocaine

View Photos of Packaging, Labels & Appearance

Product Label Images

The following 2 images provide visual information about the product associated with Trilocaine NDC 73352-610 by Trifluent Pharma Llc, such as packaging, labeling, and the appearance of the drug itself. This resource could be helpful for medical professionals, pharmacists, and patients seeking to verify medication information and ensure they have the correct product.

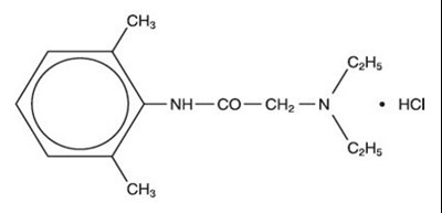
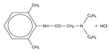
Chemical Structure - trilocaine 01

Chemical Structure - trilocaine 01

PRINCIPAL DISPLAY PANEL - 28.3 g Tube Pouch Label - trilocaine 02

PRINCIPAL DISPLAY PANEL - 28.3 g Tube Pouch Label - trilocaine 02

This is a description of Trilocal, a topical anesthetic cream containing 4.12% Lidocaine HCI. It is intended for temporary relief of pain and itching from minor burns, sunburns, cuts, scrapes, insect bites, and minor skin irritations. The cream should be used as directed by a physician and kept out of reach of children. The product is for external use only and should not be used in the eyes. It should be stored at room temperature to protect it from freezing. Distributed by Trifluent Pharma in San Antonio, TX.*

* The product label images have been analyzed using a combination of traditional computing and machine learning techniques. It should be noted that the descriptions provided may not be entirely accurate as they are experimental in nature. Use the information in this page at your own discretion and risk.