Product Images Lisinopril

View Photos of Packaging, Labels & Appearance

Product Label Images

The following 2 images provide visual information about the product associated with Lisinopril NDC 75921-515 by Life Line Home Care Services, Inc., such as packaging, labeling, and the appearance of the drug itself. This resource could be helpful for medical professionals, pharmacists, and patients seeking to verify medication information and ensure they have the correct product.

Lisinopril 20 mg Tablets #30 - LISINOPRIL 20MG

Lisinopril 20 mg Tablets #30 - LISINOPRIL 20MG

The text is describing a medication called Lisinopril manufactured by Lupin. The medication comes in a quantity of 30 tablets, and the address of the provider is given as 1610 Madison Ave Tifton, GA 31794. The lot number, MF G ID, and NDC numbers are also provided. The text does not provide further information and context about Lisinopril.*

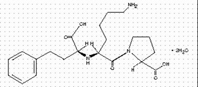
Structural formula - db57a1c8 83d3 4348 85e5 8fe3b950cce5 01

Structural formula - db57a1c8 83d3 4348 85e5 8fe3b950cce5 01

* The product label images have been analyzed using a combination of traditional computing and machine learning techniques. It should be noted that the descriptions provided may not be entirely accurate as they are experimental in nature. Use the information in this page at your own discretion and risk.