Product Images Lisinopril

View Photos of Packaging, Labels & Appearance

Product Label Images

The following 23 images provide visual information about the product associated with Lisinopril NDC 76282-732 by Exelan Pharmaceuticals, Inc, such as packaging, labeling, and the appearance of the drug itself. This resource could be helpful for medical professionals, pharmacists, and patients seeking to verify medication information and ensure they have the correct product.

2.5mg Lisinopril(500 tablets).jpg - 2.5mg Lisinopril(500 tablets)

2.5mg Lisinopril(500 tablets).jpg - 2.5mg Lisinopril(500 tablets)

This is a description of Lisinopril Tablets, USP. It contains 500 tablets each with 2.5 mg of Lisinopril USP. Usual dosage is provided in accompanying prescribing information. The medication should be kept out of reach of children, stored at room temperature, protected from moisture, freezing, and excessive heat, and dispensed in a tight container. The tablets are manufactured by CorePharma, LLC and distributed by Exelan Pharmaceuticals.*

2.5mg Lisinopril.jpg - 2.5mg Lisinopril

2.5mg Lisinopril.jpg - 2.5mg Lisinopril

This is a description of Lisinopril tablets with a dosage of 2.5 mg. It is important to keep the medication out of reach of children and store it at a controlled room temperature between 20 to 25 degrees Celsius to protect it from moisture, freezing and excessive heat. The tablets come in a bottle with 100 tablets and are only available with a prescription.*

Lisinopril 10mg (100 Tablets).jpg - Lisinopril 10mg (100 Tablets)

Lisinopril 10mg (100 Tablets).jpg - Lisinopril 10mg (100 Tablets)

This is a description of a drug called Lisinopril in tablet form with a strength of 10mg. The recommended dosage can be found in the accompanying prescribing information. A warning is given to keep the medicine out of reach and at a controlled room temperature between 20 - 25°C. The drug should be protected from moisture, freezing, and excessive heat. It is manufactured by CorePharma, LLC and Exelan Pharmaceutical. This medication is available by prescription only.*

Lisinopril 10mg (1000Tablets).jpg - Lisinopril 10mg (1000Tablets)

Lisinopril 10mg (1000Tablets).jpg - Lisinopril 10mg (1000Tablets)

This is a description of lisinopril tablets with NDC code 76282-730-10, each containing 10 mg of lisinopril USP. The usual dosage is not provided and it is advised to see the accompanying prescribing information. The warning given is to keep the tablets out of the reach of children and store them at 20° to 25°C. The tablets should be protected from moisture, freezing, and excessive heat and dispensed in a tight container. The tablets were manufactured by CorePharma, LLC in Middlesex, NJ and are marketed by Exelan Pharmaceuticals, Inc. in Boca Raton, FL.*

Lisinopril 10mg (45 Tablets).jpg - Lisinopril 10mg (45 Tablets)

Lisinopril 10mg (45 Tablets).jpg - Lisinopril 10mg (45 Tablets)

This is a medication description for Lisinopril Tablets with the usual dosage and prescribing information. It includes a warning to keep the medication out of children's reach and instructions on how to store it. The manufacturer of the medicine is CorsPharma, LLC, and it is produced for Exelan Pharmaceutical, Inc. The text also includes a National Drug Code (NDC) and a suggested dose of one tablet per day.*

Lisinopril 10mg (90 Tablets).jpg - Lisinopril 10mg (90 Tablets)

Lisinopril 10mg (90 Tablets).jpg - Lisinopril 10mg (90 Tablets)

This appears to be a description for a medication. The medication is identified with the NDC code 76282-730-90. Each tablet is said to contain 10g of Sinoprd in USP format. There is information regarding dosages that can be found in accompanying prescription information. The medication appears to be Lisinopril, which should be stored at room temperature. The remaining text appears to be either unreadable or not relevant to the medication description.*

Lisinopril 20mg (100 Tablets).jpg - Lisinopril 20mg (100 Tablets)

Lisinopril 20mg (100 Tablets).jpg - Lisinopril 20mg (100 Tablets)

This is a description of a prescription drug called Lisinopril, manufactured by CorePharma LLC. The tablets contain 20 mg of Lisinopril USP and come in a bottle of 100 tablets. The usual dosage information is included in the accompanying prescribing information. The drug should be kept out of the reach of children and stored at a temperature between 68°F to 77°F in a tight container. The text also includes a product code, NDC 76282-731-01.*

Lisinopril 20mg (1000 Tablets).jpg - Lisinopril 20mg (1000 Tablets)

Lisinopril 20mg (1000 Tablets).jpg - Lisinopril 20mg (1000 Tablets)

PRIV TIPS is a lisinopril tablet with a strength of 20mg. The usual dosage instructions can be found with the prescribing information. It is a once-daily tablet that should be kept out of the reach of children and stored at a temperature range of 20-25°C to protect it from moisture, freezing, and heat. The tablets come in a light-resistant container. PRIV TIPS is manufactured by CorePharma LLC and sold under the brand name Exelan by Exelan Pharmaceuticals Inc.*

Lisinopril 20mg (180 Tablets).jpg - Lisinopril 20mg (180 Tablets)

Lisinopril 20mg (180 Tablets).jpg - Lisinopril 20mg (180 Tablets)

This is a description of a medication called Lisinopr in tablet form, manufactured by CorPharma LLC. Each tablet contains 20g of Lisinopr USP and is intended for prescription use only. The recommended dosage is not provided and must be obtained from the accompanying prescription information. The medication should be kept out of reach of children and stored in a controlled room temperature environment between 20°C to 25°C. It should also be protected from moisture, freezing, and excessive heat and dispensed in a tight container. Exelan Pharmaceuticals Inc. is listed as the manufacturer of the medication.*

Lisinopril 20mg (45 Tablets).jpg - Lisinopril 20mg (45 Tablets)

Lisinopril 20mg (45 Tablets).jpg - Lisinopril 20mg (45 Tablets)

This is a medication called Lisinopril in tablet form with 20mg of active ingredient. The label provides instructions to store at room temperature and protect from moisture, freezing, and heat. There is a warning to keep it out of reach of children and to dispense it in a tight container. The manufacturer is Exelan Pharmaceutical, and the address is provided. It is only available with a prescription.*

Lisinopril 20mg (90 Tablets).jpg - Lisinopril 20mg (90 Tablets)

Lisinopril 20mg (90 Tablets).jpg - Lisinopril 20mg (90 Tablets)

This text appears to be information about a medication called Lisinopril, which comes in the form of tablets. The tablets contain 20mg of Lisinopril USP, and the recommended dosage is not provided. The medication should be stored at room temperature, between 20° to 25°C (68° to 77°F), and kept away from small children. The manufacturer's name is not easily readable.*

Lisinopril 30mg (100 Tablets).jpg - Lisinopril 30mg (100 Tablets)

Lisinopril 30mg (100 Tablets).jpg - Lisinopril 30mg (100 Tablets)

This is a description of the medication Lisinopril, which comes in the form of tablets. The usual dosage is stated to be found on the accompanying prescription. The medication warning reminds users to keep it out of reach of children. It should be stored in a controlled room temperature at around 20° to 25°C on USP. The manufacturer of this medication is CorsPharma, LLC and it is distributed by Exslan Pharmaceuticals out of Boca Raton, AL.*

Lisinopril 30mg (500 Tablets).jpg - Lisinopril 30mg (500 Tablets)

Lisinopril 30mg (500 Tablets).jpg - Lisinopril 30mg (500 Tablets)

This is a description of a medication called Lisinopril. It is a tablet that is taken once a day and each tablet contains 30mg of Lisinopril. The typical dosage is not provided in the text, but it should be found in the accompanying prescribing information. The medication should be kept out of the reach of children and stored between 20-25°C (68-77°F) in a controlled room temperature. The medication should be protected from moisture, freezing, and excessive heat. It should be dispensed in two tight containers. The manufacturing company is Corharma, LLC located in Middesex, NJ and it is manufactured for Exelan Pharmaceuticals in Boca Raton, FL.*

Lisinopril 40mg (100 Tablets).jpg - Lisinopril 40mg (100 Tablets)

Lisinopril 40mg (100 Tablets).jpg - Lisinopril 40mg (100 Tablets)

This is a description of a medication named "Lisinopril Tablets USP". It comes in a package containing 100 tablets, and the usual dosage can be found in the accompanying prescription information. There is a warning to keep this medication out of reach of children and to protect it from moisture, freezing, and excessive heat. It is to be dispensed in a tight container. There are also various symbols on the packaging, but their relevance is not clear. The location of the manufacturer is in Boca Raton, FL 33432.*

Lisinopril 40mg (1000Tablets).jpg - Lisinopril 40mg (1000Tablets)

Lisinopril 40mg (1000Tablets).jpg - Lisinopril 40mg (1000Tablets)

NDC 76282-733-10 Each tablet contains: 40 mg of lisinopri USP. The usual dosage for this medication can be found in the accompanying prescribing information. There are warnings on the label to protect from moisture, freezing, and excessive heat and to dispense in a tight container. The tablets are manufactured by CorePharma, LLC for Exelan Pharmaceuticals, Inc. This is a prescription medication and there are 1000 tablets per bottle.*

Lisinopril 40mg (180 Tablets).jpg - Lisinopril 40mg (180 Tablets)

Lisinopril 40mg (180 Tablets).jpg - Lisinopril 40mg (180 Tablets)

This is a medication package containing 180 tablets of Lisinopril, with each tablet having 10mg of gl USP. The package includes prescribing information, dosage instructions, and a warning to keep the medication away from children. The medication should be stored at a controlled room temperature and protected from moisture, heat, and freezing. The package was manufactured by CorPhama in New Jersey and distributed by Excan Pramacautcals in Florida.*

Lisinopril 40mg (45Tablets).jpg - Lisinopril 40mg (45Tablets)

Lisinopril 40mg (45Tablets).jpg - Lisinopril 40mg (45Tablets)

This is a medication description for a drug called Lisinopril Tablet USP, which is available in 40mg dose and comes in a container with 45 tablets. The recommended dosage is provided on the container's label, and buyers are advised to store the drug away from children. They are also advised to protect the drug from excess heat, freezing, and moisture by keeping it in a tightly sealed container. The manufacturer of the drug is Exelan, and the drug is only available through a prescription. The address of the manufacturer is given, which is in Boca Faton FL 83432.*

Lisinopril 40mg (90 Tablets).jpg - Lisinopril 40mg (90 Tablets)

Lisinopril 40mg (90 Tablets).jpg - Lisinopril 40mg (90 Tablets)

This is a description of a prescription medication named 'Lisinopril'. It contains 40 mg of isoped USP and is available in 90 tablets. It is recommended to see the accompanying prescription for the dosage. There is a warning to keep the medicine out of reach of children. The medication should be stored in a tightly sealed container at a controlled room temperature, protected from moisture, excessive heat, and freezing. The address of the pharmaceutical company is in Boca Faton FL 33432.*

Lisinopril 5mg (100 Tablets).jpg - Lisinopril 5mg (100 Tablets)

Lisinopril 5mg (100 Tablets).jpg - Lisinopril 5mg (100 Tablets)

This is a description of the medication Lisinopril Tablets, USP 5mg manufactured by CorePharma, LLC and distributed by Exelan Pharmaceuticals. It contains warnings to keep the medication out of the reach of children and to store it in a tight container at controlled room temperature. The usual dosage instructions are not provided and must be found in the accompanying Prescribing Information.*

Lisinopril 5mg (1000 Tablets).jpg - Lisinopril 5mg (1000 Tablets)

Lisinopril 5mg (1000 Tablets).jpg - Lisinopril 5mg (1000 Tablets)

This is a description of Lisinopril medication, containing 5mg of lisinopril USP. It is a once-daily Rx only tablet and is typically used as per the prescribing information. The manufacturer is CorePharma, LLC, and it is produced for Exelan Pharmaceuticals, Inc. The medication should be kept out of the reach of children and stored in a dry, cool place. It is available in a container with 1000 tablets.*

Lisinopril 5mg (90 Tablets).jpg - Lisinopril 5mg (90 Tablets)

Lisinopril 5mg (90 Tablets).jpg - Lisinopril 5mg (90 Tablets)

This is a prescription drug called Lisinopril in a tablet form with a strength of 5mg. It comes with 90 tablets to be taken once daily and the usual dosage is mentioned in the accompanying prescribing information. There is a warning to keep it out of reach of children and store it at room temperature in a tight container to protect it from moisture, freezing, and heat. It is manufactured by CorePharma and distributed by Exelan Pharmaceuticals in Boca Raton.*

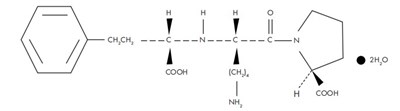
Lisinopril structure.jpg - Lisinopril structure

Lisinopril structure.jpg - Lisinopril structure

lisinopril 5mg (45 tablets).jpg - lisinopril 5mg (45 tablets)

lisinopril 5mg (45 tablets).jpg - lisinopril 5mg (45 tablets)

This is a description of Lisinopril Tablets USP, with each tablet containing 5mg of lisinopril USP and is usually prescribed according to the accompanying prescribing information. The medication should be stored at a temperature between 20-25°C and should be protected from moisture, freezing and heat. The medicine should be kept away from children. The product is manufactured by CorePharma LLC for Exelan Pharmaceuticals. The NDC code of this medication is 76282-729-45.*

* The product label images have been analyzed using a combination of traditional computing and machine learning techniques. It should be noted that the descriptions provided may not be entirely accurate as they are experimental in nature. Use the information in this page at your own discretion and risk.