Product Images Lysodren

View Photos of Packaging, Labels & Appearance

Product Label Images

The following 2 images provide visual information about the product associated with Lysodren NDC 76336-080 by Hra Pharma Rare Diseases, such as packaging, labeling, and the appearance of the drug itself. This resource could be helpful for medical professionals, pharmacists, and patients seeking to verify medication information and ensure they have the correct product.

PRINCIPAL DISPLAY PANEL - 100 Tablet Bottle Carton - lysodren 01

PRINCIPAL DISPLAY PANEL - 100 Tablet Bottle Carton - lysodren 01

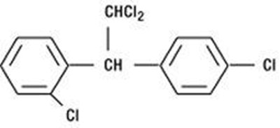
Image Mitotane Chemical Structure - lysodren struct

Image Mitotane Chemical Structure - lysodren struct