Product Images Mifepristone

View Photos of Packaging, Labels & Appearance

Product Label Images

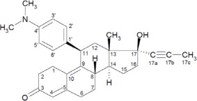
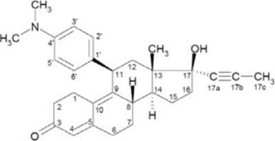
The following 2 images provide visual information about the product associated with Mifepristone NDC 76346-654 by Corcept Therapeutics Incorporated, such as packaging, labeling, and the appearance of the drug itself. This resource could be helpful for medical professionals, pharmacists, and patients seeking to verify medication information and ensure they have the correct product.

Structural Formula - mif00 0001 01

Structural Formula - mif00 0001 01

Principal Display Panel - for 280 Tablets Bottle Label (2000012734) - mif00 0001 02

Principal Display Panel - for 280 Tablets Bottle Label (2000012734) - mif00 0001 02

This text provides information about a medication called mifepristone, consisting of yellow oval-shaped tablets containing 300 mg of the active ingredient. It includes instructions on storage conditions, recommended dosage, precautions, and a reminder to keep the medication out of reach of children. Additionally, there is guidance for pharmacists to dispense a medication guide to each patient. The text also mentions the manufacturer, Corcept Therapeutics based in Menlo Park, CA.*

* The product label images have been analyzed using a combination of traditional computing and machine learning techniques. It should be noted that the descriptions provided may not be entirely accurate as they are experimental in nature. Use the information in this page at your own discretion and risk.