Product Images Finasteride

View Photos of Packaging, Labels & Appearance

Product Label Images

The following 3 images provide visual information about the product associated with Finasteride NDC 76420-151 by Asclemed Usa, Inc., such as packaging, labeling, and the appearance of the drug itself. This resource could be helpful for medical professionals, pharmacists, and patients seeking to verify medication information and ensure they have the correct product.

Figure 1 - finasteride fig1

Figure 1 - finasteride fig1

This document seems to show the results of a study related to hair loss and a drug called finasteride. It shows the mean change in hair count and the number of hairs in a 1-inch diameter circle. The data is presented in various formats including graphs and tables. The study seems to have involved a placebo group as well.*

PACKAGE LABEL-PRINCIPAL DISPLAY PANEL - finasteride fig2

PACKAGE LABEL-PRINCIPAL DISPLAY PANEL - finasteride fig2

This is a description of Finasteride Tablets, USP 1mg, with varying quantities (30 and 90) and NDC numbers (76420-151-30 and 76420-151-90). It also includes information about the distributor as "Rising Health, LLC", lot number, and an expiration date. The drug status is RX, and it is cautioned to keep the drug out of reach of children and stored between 20-25C. However, without additional context, it is difficult to determine the purpose of this information or what it pertains to.*

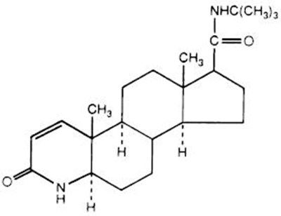
Chemical Structure - finasteride str

Chemical Structure - finasteride str

* The product label images have been analyzed using a combination of traditional computing and machine learning techniques. It should be noted that the descriptions provided may not be entirely accurate as they are experimental in nature. Use the information in this page at your own discretion and risk.