Product Images Dicloxacillin Sodium

View Photos of Packaging, Labels & Appearance

Product Label Images

The following 2 images provide visual information about the product associated with Dicloxacillin Sodium NDC 76420-183 by Asclemed Usa, Inc., such as packaging, labeling, and the appearance of the drug itself. This resource could be helpful for medical professionals, pharmacists, and patients seeking to verify medication information and ensure they have the correct product.

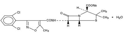
Structural formula for dicloxacillin sodium - dicloxacillin sodium capsule 062286 1

Structural formula for dicloxacillin sodium - dicloxacillin sodium capsule 062286 1

Label - dicloxacillin sodium capsule 062286 2

Label - dicloxacillin sodium capsule 062286 2

The text describes the label of a medication bottle for Dicloxacillin Sodium Capsules, USP 500mg with NDC number 76420-183-20. It includes details such as the manufacturer, lot number, expiration date, and quantity. The medication is available by prescription only and requires caution during dispensing. There are some errors in spelling and formatting.*

* The product label images have been analyzed using a combination of traditional computing and machine learning techniques. It should be noted that the descriptions provided may not be entirely accurate as they are experimental in nature. Use the information in this page at your own discretion and risk.