Product Images Omeprazole

View Photos of Packaging, Labels & Appearance

Product Label Images

The following 2 images provide visual information about the product associated with Omeprazole NDC 76420-879 by Asclemed Usa, Inc., such as packaging, labeling, and the appearance of the drug itself. This resource could be helpful for medical professionals, pharmacists, and patients seeking to verify medication information and ensure they have the correct product.

label - 20mg label

label - 20mg label

The text is describing the packaging and labeling of Omeprazole DR Capsules, USP 20mg by Enovachem and Glenmark Pharmaceuticals. The capsules come in packs of 30, 60, and 100, and are cautionary drugs known as RX, meaning they can only be sold with a prescription. The description of the capsule is a "light blue to blue capsule/GG231." It also provides directions to store at 20-25°C, see USP controlled room temp, and to keep it out of reach of children.*

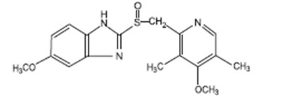
structure - structure

structure - structure

* The product label images have been analyzed using a combination of traditional computing and machine learning techniques. It should be noted that the descriptions provided may not be entirely accurate as they are experimental in nature. Use the information in this page at your own discretion and risk.