Product Images Pregabalin

View Photos of Packaging, Labels & Appearance

Product Label Images

The following 13 images provide visual information about the product associated with Pregabalin NDC 80425-0028 by Advanced Rx Of Tennessee, Llc, such as packaging, labeling, and the appearance of the drug itself. This resource could be helpful for medical professionals, pharmacists, and patients seeking to verify medication information and ensure they have the correct product.

Figure 1

Figure 1

Figure 10

Figure 10

This seems to be a chart or a graph representing the percentage of subjects without LTR on different days of treatment. The graph includes a Progabain and Placebo treatment option with days ranging from 0 to 180. However, without further context or information, it is difficult to provide a more specific or useful description.*

Figure 11

Figure 11

Figure 12

Figure 12

This table shows the percentage of subjects who improved from baseline to week 16 in a clinical trial comparing pregabalin to placebo. The percentage of subjects who improved on pregabalin was 100%. The graph also shows the improvement in subjects on placebo at various points on a scale ranging from 210 to 270. However, the exact percentage of improvement on placebo is not readable due to the quality of the text.*

Figure 2

Figure 2

This appears to be a chart displaying the percent improvement in pain from a baseline for patients taking Pregabalin 160 mg over a period of 3 days. The chart shows figures for "2w", "220", "23", "20", "280", "2", "20" and "23w" but there is no clear description of what these figures represent. The chart also appears to have some text cut off or distorted, including something that may say "Facebook".*

Figure 3

Figure 3

This text seems to be displaying data related to patients and the effectiveness of different medications in treating pain. The first section shows the percentage of patients who saw improvement, while the second section shows the percentage of improvement in pain from a baseline. The medications mentioned are Pregatalin, Pregabain, and Pregabalin in different dosages and administration frequencies. The rest of the text seems to be indecipherable characters and not relevant information.*

Figure 4

Figure 4

Figure 5

Figure 5

This appears to be a clinical study comparing the efficacy of two medications (Fregabalin and Pregataiin) with a placebo in reducing pain. The dosage of Fregabalin is 100mg, three times a day, while the dosage of Pregataiin is 80mg, three times a day. The study shows a percentage improvement in pain from baseline, with a maximum improvement of 38.8%. There is a chart showing percentage improvement in pain from baseline for different time points (220, 20, 240, 250, 20, 20, 20, 230, 100).*

Figure 6

Figure 6

The given text contains a table with labels "Study E1", "Study E3" and "S5". The rows have dosages mentioned such as "Placebo SOmgday", "150mgday", "300mgday", "600mgday", "Pacebo 300my/dey", "600mg/day". The cells in the table have characters that cannot be interpreted. The only meaningful text is "statistically significant vs. placebo", which is likely referring to the dosages mentioned in the table. No further information can be obtained from this text.*

Figure 7

Figure 7

Figure 9

Figure 9

Pregabalin 75mg Cap Qty 60 80425 0028

Pregabalin 75mg Cap Qty 60 80425 0028

This is a medication package of Pregabally Temc Capsules with a quantity of 460, packed by a company called AAdvance RX. The second portion of the text seems to be a barcode or unique identification number.*

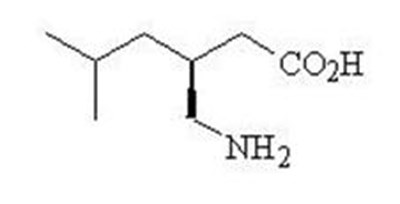
Structure

Structure

* The product label images have been analyzed using a combination of traditional computing and machine learning techniques. It should be noted that the descriptions provided may not be entirely accurate as they are experimental in nature. Use the information in this page at your own discretion and risk.