Product Images Mlk Kit F2

View Photos of Packaging, Labels & Appearance

Product Label Images

The following 4 images provide visual information about the product associated with Mlk Kit F2 NDC 80425-0508 by Advanced Rx Of Tennessee, Llc, such as packaging, labeling, and the appearance of the drug itself. This resource could be helpful for medical professionals, pharmacists, and patients seeking to verify medication information and ensure they have the correct product.

MLK F2 Kit #1 - MLK F2 Kit 80425 0508 01

MLK F2 Kit #1 - MLK F2 Kit 80425 0508 01

This is a description of a product labeled with various information such as the packing details, NDC number, lot number, expiration date, manufacturer details, and a serial number. The product appears to be associated with a manufacturer named ENOVACHEM.*

image description - mlk00 0005 01

image description - mlk00 0005 01

Lidocaine Hydrochloride Chemical Structure - mlk00 0005 02

Lidocaine Hydrochloride Chemical Structure - mlk00 0005 02

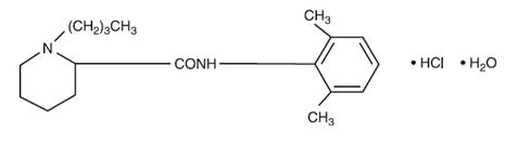
structure - mlk00 0005 03

structure - mlk00 0005 03

* The product label images have been analyzed using a combination of traditional computing and machine learning techniques. It should be noted that the descriptions provided may not be entirely accurate as they are experimental in nature. Use the information in this page at your own discretion and risk.