FDA Label for Augmentin Es-600
View Indications, Usage & Precautions
- 1 INDICATIONS AND USAGE
- 2.1 IMPORTANT ADMINISTRATION INSTRUCTIONS
- 2.2 DOSAGE IN PEDIATRIC PATIENTS
- OTHER
- 2.3 DOSAGE IN ADULT PATIENTS
- 2.4 DOSAGE IN PATIENTS WITH HEPATIC IMPAIRMENT
- 2.5 PREPARATION OF THE ORAL SUSPENSION
- 2.6 SWITCHING BETWEEN DOSAGE FORMS AND BETWEEN STRENGTHS
- 3 DOSAGE FORMS AND STRENGTHS
- 4.1 SERIOUS HYPERSENSITIVITY REACTIONS
- 4.2 CHOLESTATIC JAUNDICE/HEPATIC DYSFUNCTION
- 5.1 SERIOUS ALLERGIC REACTIONS, INCLUDING ANAPHYLAXIS
- 5.2 SEVERE CUTANEOUS ADVERSE REACTIONS
- 5.3 HEPATIC DYSFUNCTION
- 5.4 CLOSTRIDIOIDES DIFFICILE-ASSOCIATED DIARRHEA (CDAD)
- 5.5 SKIN RASH IN PATIENTS WITH MONONUCLEOSIS
- 5.6 POTENTIAL FOR MICROBIAL OVERGROWTH
- 5.7 PHENYLKETONURICS
- 5.8 DEVELOPMENT OF DRUG-RESISTANT BACTERIA
- 6 ADVERSE REACTIONS
- 6.1 CLINICAL TRIAL EXPERIENCE
- 6.2 POSTMARKETING EXPERIENCE
- 7.1 PROBENECID
- 7.2 ORAL ANTICOAGULANTS
- 7.3 ALLOPURINOL
- 7.4 ORAL CONTRACEPTIVES
- 7.5 EFFECTS ON LABORATORY TESTS
- 8.1 PREGNANCY
- 8.2 LABOR AND DELIVERY
- 8.3 NURSING MOTHERS
- 8.4 PEDIATRIC USE
- 10 OVERDOSAGE
- 11 DESCRIPTION
- 12.1 MECHANISM OF ACTION
- 12.3 PHARMACOKINETICS
- 12.4 MICROBIOLOGY
- 13.1 CARCINOGENESIS, MUTAGENESIS, IMPAIRMENT OF FERTILITY
- 14 CLINICAL STUDIES
- 15 REFERENCES
- STORAGE AND HANDLING
- 17 PATIENT COUNSELING INFORMATION
- PRINICPLE DISPLAY PANEL: CONTAINER LABEL - 75 ML
- PRINICPLE DISPLAY PANEL: CONTAINER LABEL - 125 ML
- PRINICPLE DISPLAY PANEL: CONTAINER LABEL - 200 ML
Augmentin Es-600 Product Label
The following document was submitted to the FDA by the labeler of this product Usantibiotics, Llc. The document includes published materials associated whith this product with the essential scientific information about this product as well as other prescribing information. Product labels may durg indications and usage, generic names, contraindications, active ingredients, strength dosage, routes of administration, appearance, warnings, inactive ingredients, etc.
1 Indications And Usage
AUGMENTIN ES-600 is indicated for the treatment of pediatric patients with
- Recurrent or persistent acute otitis media due to S. pneumoniae (penicillin MICs less than or equal to 2 mcg/mL), H. influenzae (including β-lactamase-producing strains), or M. catarrhalis (including β-lactamase-producing strains) characterized by the following risk factors:
- Antibacterial drug exposure for acute otitis media within the preceding 3 months, and either of the following: 1) age 2 years, or younger or 2) daycare attendance [see Microbiology (12.4)].
Limitations of Use
Acute otitis media due to S. pneumoniae alone can be treated with amoxicillin. AUGMENTIN ES-600 is not indicated for the treatment of acute otitis media due to S. pneumoniae with penicillin MIC greater than or equal to 4 mcg/mL. Therapy may be instituted prior to obtaining the results from bacteriological studies when there is reason to believe the infection may involve both S. pneumoniae (penicillin MIC less than or equal to 2 mcg/mL) and the β-lactamase-producing organisms listed above.
Usage
To reduce the development of drug-resistant bacteria and maintain the effectiveness of AUGMENTIN ES-600 and other antibacterial drugs, AUGMENTIN ES-600 should be used only to treat or prevent infections that are proven or strongly suspected to be caused by susceptible bacteria. When culture and susceptibility information are available, they should be considered in selecting or modifying antibacterial therapy. In the absence of such data, local epidemiology and susceptibility patterns may contribute to the empiric selection of therapy.
2.1 Important Administration Instructions
To minimize the potential for gastrointestinal intolerance, AUGMENTIN ES-600 should be taken at the start of a meal. Absorption of clavulanate potassium may be enhanced when AUGMENTIN ES-600 is administered at the start of a meal.
2.2 Dosage In Pediatric Patients
Pediatric patients 3 months and older: Based on the amoxicillin component (600 mg/5 mL), the recommended dose of AUGMENTIN ES-600 is 90 mg/kg/day divided every 12 hours, administered for 10 days (see chart below). This dose provides 6.4 mg/kg/day of the clavulanic acid component.
| Body Weight (kg) | Volume of AUGMENTIN ES-600 for oral suspension providing 90 mg/kg/day |
| 8 | 3 mL twice daily |
| 12 | 4.5 mL twice daily |
| 16 | 6 mL twice daily |
| 20 | 7.5 mL twice daily |
| 24 | 9 mL twice daily |
| 28 | 10.5 mL twice daily |
| 32 | 12 mL twice daily |
| 36 | 13.5 mL twice daily |
Other
Pediatric patients weighing 40 kg and more: Experience with AUGMENTIN ES-600 in this group is not available.
Flavoring Information: For patients who wish to alter the taste of AUGMENTIN ES-600, immediately after reconstitution 1 drop of FLAVORx™ (apple, banana cream, bubble gum, cherry, or watermelon flavor) may be added for every 5 mL of AUGMENTIN ES-600. The resulting suspension is stable for 10 days under refrigeration. Stability of AUGMENTIN ES-600 when mixed with other flavors distributed by FLAVORx has not been evaluated for flavors other than the 5 flavors listed above.
Susceptibility Test Methods:
For specific information regarding susceptibility test interpretive criteria and associated test methods and quality control standards recognized by FDA for this drug, please see: https://www.fda.gov/STIC.
How Supplied
AUGMENTIN ES-600®
amoxicillin and clavulanate potassium for oral suspension, USP
600 mg/42.9 mg per 5 mL: Strawberry cream-flavored powder for oral suspension. Following constitution, each 5 mL of oral suspension contains 600 mg of amoxicillin as the trihydrate and 42.9 mg of clavulanic acid as the potassium salt (equivalent to 51.1 mg of clavulanate potassium).
| NDC 81964-003-51 | 75 mL bottle |
| NDC 81964-003-69 | 125 mL bottle |
| NDC 81964-003-54 | 200 mL bottle |
Administration Instructions
Inform patients to take AUGMENTIN ES-600 every 12 hours with a meal or snack to reduce the possibility of gastrointestinal upset. If diarrhea develops and is severe or lasts more than 2 or 3 days, call your doctor.
Allergic Reactions
Counsel patients that AUGMENTIN ES-600 contains a penicillin class drug product that can cause allergic reactions in some individuals.
Severe Cutaneous Adverse Reactions (SCAR)
Advise patients about the signs and symptoms of serious skin manifestations. Instruct patients to stop taking AUGMENTIN ES-600 immediately and promptly report the first signs or symptoms of skin rash, mucosal lesions, or any other sign of hypersensitivity [see Warnings and Precautions (5.2)].
Diarrhea
Counsel patients that diarrhea is a common problem caused by antibacterial drugs which usually ends when the antibacterial is discontinued. Sometimes after starting treatment with antibacterial drugs, patients can develop watery and bloody stools (with or without stomach cramps and fever) even as late as 2 or more months after having taken the last dose of the antibacterial drug. If this occurs, patients should contact their physician as soon as possible.
Antibacterial Resistance
Patients should be counseled that antibacterial drugs, including AUGMENTIN ES-600, should only be used to treat bacterial infections. Antibacterial drugs do not treat viral infections (e.g., the common cold). When AUGMENTIN ES-600 is prescribed to treat a bacterial infection, patients should be told that although it is common to feel better early in the course of therapy, the medication should be taken exactly as directed. Skipping doses or not completing the full course of therapy may: (1) decrease the effectiveness of the immediate treatment, and (2) increase the likelihood that bacteria will develop resistance and will not be treatable by AUGMENTIN ES-600 or other antibacterial drugs in the future.
Storage Instructions
Keep suspension refrigerated. Shake well before using. When dosing a child with the suspension (liquid) of AUGMENTIN ES-600, use a dosing spoon or medicine dropper. Be sure to rinse the spoon or dropper after each use. Bottles of suspension of AUGMENTIN ES-600 may contain more liquid than required. Follow your doctor's instructions about the amount to use and the days of treatment your child requires. Discard any unused medicine.
Phenylketonuria
Counsel patients with phenylketonuria: Each 5 mL of suspension of AUGMENTIN ES-600 contains 7 mg phenylalanine.
Manufactured by:
USAntibiotics, LLC
Bristol, TN 37620 (USA)
AUGMENTIN ES-600 is a registered trademark of GlaxoSmithKline and is licensed to USAntibiotics, LLC.
CLINITEST is a registered trademark of Miles, Inc.
AUGMENTIN XR is a registered trademark of GlaxoSmithKline and is licensed to USAntibiotics, LLC.
FLAVORx is a trademark of FLAVORx. Inc.
2.3 Dosage In Adult Patients
Experience with AUGMENTIN ES-600 in adults is not available and adults who have difficulty swallowing should not be given AUGMENTIN ES-600 in place of the 500 mg or 875 mg tablet of AUGMENTIN.
2.4 Dosage In Patients With Hepatic Impairment
Hepatically impaired patients should be dosed with caution and hepatic function monitored at regular intervals [see Warnings and Precautions (5)].
2.5 Preparation Of The Oral Suspension
Directions for Mixing Oral Suspension: Prepare a suspension at time of dispensing as follows: Tap bottle until all powder flows freely. Measure the total amount of water (see chart below) to be added in two parts. Add approximately 2/3 of the total amount of water for reconstitution, replace cap and shake vigorously to suspend powder. Add remainder of the water (that had been measured), replace cap and again shake vigorously.
| AUGMENTIN ES-600, USP | |
| Bottle Size | Amount of Water Required for Reconstitution |
| 75 mL | 70 mL |
| 125 mL | 110 mL |
| 200 mL | 180 mL |
Each teaspoonful (5 mL) will contain 600 mg of amoxicillin as the trihydrate, and 42.9 mg of clavulanic acid as the potassium salt.
Shake oral suspension well before each use. Suspension must be refrigerated. Discard after 10 days. Suspension is off-white at time of reconstitution; some color change is normal during the dosing period.
2.6 Switching Between Dosage Forms And Between Strengths
AUGMENTIN ES-600 does not contain the same amount of clavulanic acid (as the potassium salt) as any of the other suspensions of AUGMENTIN. AUGMENTIN ES-600 contains 42.9 mg of clavulanic acid per 5 mL, whereas the 200 mg/28.5 mg per 5 mL suspension of AUGMENTIN contains 28.5 mg clavulanic acid per 5 mL and the 400 mg/57 mg per 5 mL suspension of AUGMENTIN contains 57 mg clavulanic acid per 5 mL. Therefore, the 200 mg/28.5 mg per 5 mL and 400 mg/57 mg per 5 mL suspensions of AUGMENTIN should not be substituted for AUGMENTIN ES-600 as they are not interchangeable.
3 Dosage Forms And Strengths
Augmentin ES-600 for oral suspension, USP:
- 600 mg/42.9 mg per 5 mL: Strawberry cream-flavored for oral suspension (each 5 mL of reconstituted suspension contains 600 mg of amoxicillin as the trihydrate, and 42.9 mg of clavulanic acid as the potassium salt).
4.1 Serious Hypersensitivity Reactions
AUGMENTIN ES-600 is contraindicated in patients with a history of serious hypersensitivity reactions (e.g., anaphylaxis or Stevens-Johnson syndrome) to amoxicillin, clavulanate, or to other beta-lactam antibacterial drugs (e.g., penicillins and cephalosporins).
4.2 Cholestatic Jaundice/Hepatic Dysfunction
AUGMENTIN ES-600 is contraindicated in patients with a previous history of cholestatic jaundice/hepatic dysfunction associated with treatment with Amoxicillin and Clavulanate Potassium.
5.1 Serious Allergic Reactions, Including Anaphylaxis
Serious and occasionally fatal hypersensitivity (anaphylactic) reactions have been reported in patients receiving beta-lactam antibacterials, including AUGMENTIN ES-600. These reactions are more likely to occur in individuals with a history of penicillin hypersensitivity and/or a history of sensitivity to multiple allergens. Before initiating therapy with AUGMENTIN ES-600, careful inquiry should be made concerning previous hypersensitivity reactions to penicillins, cephalosporins, or other allergens. If an allergic reaction occurs, discontinue AUGMENTIN ES-600 and institute appropriate therapy.
5.2 Severe Cutaneous Adverse Reactions
AUGMENTIN ES-600 may cause severe cutaneous adverse reactions (SCAR), such as Stevens-Johnson syndrome (SJS), toxic epidermal necrolysis (TEN), drug reaction with eosinophilia and systemic symptoms (DRESS), and acute generalized exanthematous pustulosis (AGEP). If patients develop a skin rash, they should be monitored closely, and AUGMENTIN ES-600 discontinued if lesions progress.
5.3 Hepatic Dysfunction
Use AUGMENTIN ES-600 with caution in patients with evidence of hepatic dysfunction. Hepatic toxicity associated with the use of AUGMENTIN ES-600 is usually reversible. Deaths have been reported (fewer than one death reported per estimated four million prescriptions worldwide). These have generally been cases associated with serious underlying diseases or concomitant medications [see Contraindications (4.2) and Adverse Reactions (6.2)].
5.4 Clostridioides Difficile-Associated Diarrhea (Cdad)
Clostridioides difficile-associated diarrhea (CDAD) has been reported with use of nearly all antibacterial agents, including AUGMENTIN ES-600, and may range in severity from mild diarrhea to fatal colitis. Treatment with antibacterial agents alters the normal flora of the colon leading to overgrowth of C. difficile.
C. difficile produces toxins A and B which contribute to the development of CDAD. Hypertoxin-producing strains of C. difficile cause increased morbidity and mortality, as these infections can be refractory to antimicrobial therapy and may require colectomy. CDAD must be considered in all patients who present with diarrhea following antibacterial drug use. Careful medical history is necessary since CDAD has been reported to occur over two months after the administration of antibacterial agents.
If CDAD is suspected or confirmed, ongoing antibacterial drug use not directed against C. difficile may need to be discontinued. Appropriate fluid and electrolyte management, protein supplementation, antibacterial treatment of C. difficile, and surgical evaluation should be instituted as clinically indicated.
5.5 Skin Rash In Patients With Mononucleosis
A high percentage of patients with mononucleosis who receive amoxicillin develop an erythematous skin rash. Thus, AUGMENTIN ES-600 should not be administered to patients with mononucleosis.
5.6 Potential For Microbial Overgrowth
The possibility of superinfections with mycotic or bacterial pathogens should be kept in mind during therapy. If superinfections occur (usually involving Pseudomonas spp. or Candida spp.), the drug should be discontinued, and appropriate therapy instituted.
5.7 Phenylketonurics
AUGMENTIN ES-600 contains aspartame which contains phenylalanine. Each 5 mL of suspension of AUGMENTIN ES-600 contains 7 mg phenylalanine.
5.8 Development Of Drug-Resistant Bacteria
Prescribing AUGMENTIN ES-600 in the absence of a proven or strongly suspected bacterial infection or a prophylactic indication is unlikely to provide benefit to the patient and increases the risk of the development of drug-resistant bacteria.
6 Adverse Reactions
The following are discussed in more detail in other sections of the labeling [see Warnings and Precautions (5)]:
6.1 Clinical Trial Experience
Because clinical trials are conducted under widely varying conditions, adverse reaction rates observed in the clinical trials of a drug cannot be directly compared to rates in the clinical trials of another drug and may not reflect the rates observed in practice.
Two clinical trials evaluated the safety of a 10-day treatment course of AUGMENTIN ES-600 90/6.4 mg/kg/day, divided every 12 hours, in pediatric patients with acute otitis media [see Clinical Studies (14)]. The first trial involved 521 pediatric patients (3 months to 50 months) and the second trial involved 450 pediatric patients (3 months to 12 years). In the intent-to-treat population of the first trial of 521 patients, the most frequently reported adverse events were vomiting (7%), fever (6%), contact dermatitis (i.e., diaper rash) (6%), upper respiratory tract infection (4%), and diarrhea (4%). Protocol-defined diarrhea (i.e., 3 or more watery stools in one day or 2 watery stools per day for 2 consecutive days as recorded on diary cards) occurred in 13% of patients.
The primary objective of the second study was to compare the safety of AUGMENTIN ES-600 (90/6.4 mg/kg/day, divided every 12 hours) to AUGMENTIN (45/6.4 mg/kg/day, divided every 12 hours) for ten days. There was no statistically significant difference between treatments in the proportion of patients with 1 or more adverse events. The most frequently reported adverse reactions for AUGMENTIN ES-600 and the comparator of AUGMENTIN were coughing (12% versus 7%), vomiting (7% versus 8%), contact dermatitis (i.e., diaper rash, 6% versus 5%), fever (6% versus 4%), and upper respiratory infection (3% versus 9%), respectively. The frequencies of protocol-defined diarrhea with AUGMENTIN ES-600 (11%) and AUGMENTIN (9%) were not statistically different. Two patients in the group treated with AUGMENTIN ES-600 and one patient in the group treated with AUGMENTIN were withdrawn due to diarrhea.
6.2 Postmarketing Experience
In addition to adverse reactions reported from clinical trials, the following have been identified during postmarketing use of AUGMENTIN products, including AUGMENTIN ES-600. Because they are reported voluntarily from a population of unknown size, estimates of frequency cannot be made. These events have been chosen for inclusion due to a combination of their seriousness, frequency of reporting, or potential causal connection to AUGMENTIN.
Gastrointestinal: Diarrhea, nausea, vomiting, indigestion, gastritis, stomatitis, glossitis, black “hairy” tongue, mucocutaneous candidiasis, enterocolitis, and hemorrhagic/pseudomembranous colitis. Onset of pseudomembranous colitis symptoms may occur during or after antibacterial treatment [see Warnings and Precautions (5)].
Immune: Hypersensitivity reactions, anaphylactic/anaphylactoid reactions (including shock), angioedema, serum sickness-like reactions (urticaria or skin rash accompanied by arthritis, arthralgia, myalgia, and frequently fever), hypersensitivity vasculitis[see Warnings and Precautions (5.1)].
Skin and Appendages: Rashes, pruritus, urticaria, erythema multiforme, SJS, TEN, DRESS, AGEP, exfoliative dermatitis [see Warnings and Precautions (5.2)].
Liver: A moderate rise in AST (SGOT) and/or ALT (SGPT) has been noted in patients treated with ampicillin-class antibacterials. Hepatic dysfunction, including increases in serum transaminases (AST and/or ALT), serum bilirubin, and/or alkaline phosphatase, has been infrequently reported with AUGMENTIN or AUGMENTIN ES-600. It has been reported more commonly in the elderly, in males, or in patients on prolonged treatment. The histologic findings on liver biopsy have consisted of cholestatic, hepatocellular, or mixed cholestatic-hepatocellular changes. The onset of signs/symptoms of hepatic dysfunction may occur during or several weeks after therapy has been discontinued. The hepatic dysfunction, which may be severe, is usually reversible. Deaths have been reported [see Contraindications (4.2), Warnings and Precautions (5.3)].
Renal: Interstitial nephritis and hematuria have been reported. Crystalluria has also been reported [see Overdosage (10)].
Hemic and Lymphatic Systems: Anemia, including hemolytic anemia, thrombocytopenia, thrombocytopenic purpura, eosinophilia, leukopenia, and agranulocytosis have been reported during therapy with penicillins. These reactions are usually reversible on discontinuation of therapy and are believed to be hypersensitivity phenomena. There have been reports of increased prothrombin time in patients receiving AUGMENTIN and anticoagulant therapy concomitantly.
Central Nervous System: Agitation, anxiety, behavioral changes, aseptic meningitis, confusion, convulsions, dizziness, insomnia, and reversible hyperactivity have been reported rarely.
Miscellaneous: Tooth discoloration (brown, yellow, or gray staining) has been rarely reported. Most reports occurred in pediatric patients. Discoloration was reduced or eliminated with brushing or dental cleaning in most cases.
7.1 Probenecid
Probenecid decreases the renal tubular secretion of amoxicillin. Concurrent use with AUGMENTIN ES-600 may result in increased and prolonged blood levels of amoxicillin. Co-administration of probenecid is not recommended.
7.2 Oral Anticoagulants
Abnormal prolongation of prothrombin time (increased international normalized ratio [INR]) has been reported in patients receiving amoxicillin and oral anticoagulants. Appropriate monitoring should be undertaken when anticoagulants are prescribed concurrently. Adjustments in the dose of oral anticoagulants may be necessary to maintain the desired level of anticoagulation.
7.3 Allopurinol
The concurrent administration of allopurinol and amoxicillin increases substantially the incidence of rashes in patients receiving both drugs as compared to patients receiving amoxicillin alone. It is not known whether this potentiation of amoxicillin rashes is due to allopurinol or the hyperuricemia present in these patients. There are no data with AUGMENTIN ES-600 and allopurinol administered concurrently.
7.4 Oral Contraceptives
AUGMENTIN ES-600 may affect intestinal flora, leading to lower estrogen reabsorption and reduced efficacy of combined oral estrogen/progesterone contraceptives.
7.5 Effects On Laboratory Tests
High urine concentrations of amoxicillin may result in false-positive reactions when testing for the presence of glucose in urine using CLINITEST®, Benedict's Solution, or Fehling's Solution. Since this effect may also occur with AUGMENTIN ES-600, it is recommended that glucose tests based on enzymatic glucose oxidase reactions be used.
Following administration of amoxicillin to pregnant women, a transient decrease in plasma concentration of total conjugated estriol, estriol-glucuronide, conjugated estrone, and estradiol has been noted.
8.1 Pregnancy
Pregnancy Category B.
There are no adequate and well-controlled studies in pregnant women. Because animal reproduction studies are not always predictive of human response, this drug should be used during pregnancy only if clearly needed.
Reproduction studies performed in pregnant rats and mice given AUGMENTIN (2:1 ratio formulation of amoxicillin:clavulanate) at oral dosages up to 1200 mg/kg/day revealed no evidence of harm to the fetus due to AUGMENTIN. The amoxicillin doses in rodents (based on body surface area and assuming a 20 kg child) were approximately 2 times (rats) or equal to (mice) the recommended clinical AUGMENTIN ES-600 dose of 90/6.4 mg/kg/day. For clavulanate, these dose multiples were approximately 15 times and 7.5 times the recommended daily dose of AUGMENTIN ES-600.
8.2 Labor And Delivery
Oral ampicillin-class antibacterial drugs are generally poorly absorbed during labor. Studies in guinea pigs have shown that intravenous administration of ampicillin decreased the uterine tone, frequency of contractions, height of contractions, and duration of contractions. However, it is not known whether the use of AUGMENTIN in humans during labor or delivery has immediate or delayed adverse effects on the fetus, prolongs the duration of labor, or increases the likelihood that forceps delivery or other obstetrical intervention or resuscitation of the newborn will be necessary. In a single study in women with premature rupture of fetal membranes, it was reported that prophylactic treatment with AUGMENTIN may be associated with an increased risk of necrotizing enterocolitis in neonates.
8.3 Nursing Mothers
Ampicillin-class antibacterial drugs are excreted in human milk; therefore, caution should be exercised when AUGMENTIN is administered to a nursing woman.
8.4 Pediatric Use
Safety and efficacy of AUGMENTIN ES-600 in infants younger than 3 months have not been established. Safety and efficacy of AUGMENTIN ES-600 have been demonstrated for treatment of acute otitis media in infants and children 3 months to 12 years [see Clinical Studies (14)].
The safety and effectiveness of AUGMENTIN ES-600 have been established for the treatment of pediatric patients (3 months to 12 years) with acute bacterial sinusitis. This use is supported by evidence from adequate and well-controlled studies of AUGMENTIN XRTM Extended Release Tablets in adults with acute bacterial sinusitis, studies of AUGMENTIN ES-600 in pediatric patients with acute otitis media, and by similar pharmacokinetics of amoxicillin and clavulanate in pediatric patients taking AUGMENTIN ES-600 [see Clinical Pharmacology (12)] and adults taking AUGMENTIN XR.
10 Overdosage
Following overdosage, patients have experienced primarily gastrointestinal symptoms including stomach and abdominal pain, vomiting, and diarrhea. Rash, hyperactivity, or drowsiness have also been observed in a small number of patients.
In case of overdosage, discontinue AUGMENTIN ES-600, treat symptomatically, and institute supportive measures as required. If the overdosage is very recent and there is no contraindication, an attempt at emesis or other means of removal of drug from the stomach may be performed. A prospective study of 51 pediatric patients at a poison control center suggested that overdosages of less than 250 mg/kg of amoxicillin are not associated with significant clinical symptoms and do not require gastric emptying.1
Interstitial nephritis resulting in oliguric renal failure has been reported in a small number of patients after overdosage with amoxicillin.
Crystalluria, in some cases leading to renal failure, has also been reported after amoxicillin overdosage in adult and pediatric patients. In case of overdosage, adequate fluid intake and diuresis should be maintained to reduce the risk of amoxicillin crystalluria.
Renal impairment appears to be reversible with cessation of drug administration. High blood levels may occur more readily in patients with impaired renal function because of decreased renal clearance of both amoxicillin and clavulanate. Both amoxicillin and clavulanate are removed from the circulation by hemodialysis [see Dosage and Administration (2)].
11 Description
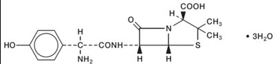
AUGMENTIN ES-600, USP, is an oral antibacterial combination consisting of the semisynthetic antibacterial amoxicillin and the β-lactamase inhibitor, clavulanate potassium (the potassium salt of clavulanic acid). Amoxicillin is an analog of ampicillin, derived from the basic penicillin nucleus, 6-aminopenicillanic acid. The amoxicillin molecular formula is C16H19N3O5S•3H2O, and the molecular weight is 419.46. Chemically, amoxicillin is (2S,5R,6R)-6-[(R)-(-)-2-Amino-2-(p-hydroxyphenyl)acetamido]-3,3-dimethyl-7-oxo-4-thia-1-azabicyclo [3.2.0] heptane-2-carboxylic acid trihydrate and may be represented structurally as:
Clavulanic acid is produced by the fermentation of Streptomyces clavuligerus. It is a β-lactam structurally related to the penicillins and possesses the ability to inactivate a wide variety of β-lactamases by blocking the active sites of these enzymes. Clavulanic acid is particularly active against the clinically important plasmid-mediated β-lactamases frequently responsible for transferred drug resistance to penicillins and cephalosporins. The clavulanate potassium molecular formula is C8H8KNO5 and the molecular weight is 237.25. Chemically, clavulanate potassium is potassium (Z)-(2R,5R)-3-(2-hydroxyethylidene)-7-oxo-4-oxa-1-azabicyclo[3.2.0]-heptane-2-carboxylate and may be represented structurally as:
Following constitution, each 5 mL of oral suspension contains 600 mg of amoxicillin as the trihydrate and 42.9 mg of clavulanic acid (equivalent to 51.1 mg of clavulanate potassium).
Inactive Ingredients: Aspartame, colloidal silicon dioxide, strawberry cream flavor, xanthan gum, sodium carboxymethylcellulose, and silicon dioxide. [see Warnings and Precautions (5.7)].
Each 5 mL of reconstituted AUGMENTIN ES-600 contains 0.23 mEq potassium.
12.1 Mechanism Of Action
AUGMENTIN ES-600 is an antibacterial drug [see Microbiology (12.4)].
12.3 Pharmacokinetics
The pharmacokinetics of amoxicillin and clavulanate were determined in a study of 19 pediatric patients, 8 months to 11 years, given AUGMENTIN ES-600 at an amoxicillin dose of 45 mg/kg q12h with a snack or meal. The mean plasma amoxicillin and clavulanate pharmacokinetic parameter values are listed in the following table.
Table 1. Mean (±SD) Plasma Amoxicillin and Clavulanate Pharmacokinetic Parameter Values Following Administration of 45 mg/kg of AUGMENTIN ES-600 Every 12 Hours to Pediatric Patients
* Arithmetic mean ± standard deviation, except Tmax values which are medians (ranges). | ||
| PARAMETER | AMOXICILLIN | CLAVULANATE |
| Cmax (mcg/mL) | 15.7 ± 7.7 | 1.7 ± 0.9 |
| Tmax (hr) | 2.0 (1.0 to 4.0) | 1.1 (1.0 to 4.0) |
| AUC0-T (mcg*hr/mL) | 59.8 ± 20.0 | 4.0 ± 1.9 |
| T½ (hr) | 1.4 ± 0.3 | 1.1 ± 0.3 |
| CL/F (L/hr/kg) | 0.9 ± 0.4 | 1.1 ± 1.1 |
The effect of food on the oral absorption of AUGMENTIN ES-600 has not been studied.
Approximately 50% to 70% of the amoxicillin and approximately 25% to 40% of the clavulanic acid are excreted unchanged in urine during the first 6 hours after administration of 10 mL of 250 mg/5 mL suspension of AUGMENTIN.
Concurrent administration of probenecid delays amoxicillin excretion but does not delay renal excretion of clavulanic acid.
Neither component in AUGMENTIN ES-600 is highly protein-bound; clavulanic acid has been found to be approximately 25% bound to human serum and amoxicillin approximately 18% bound.
Oral administration of a single dose of AUGMENTIN ES-600 at 45 mg/kg (based on the amoxicillin component) to pediatric patients, 9 months to 8 years, yielded the following pharmacokinetic data for amoxicillin in plasma and middle ear fluid (MEF):
| Timepoint | Amoxicillin concentration in plasma (mcg/mL) | Amoxicillin concentration in MEF (mcg/mL) | |
| 1 hour | mean median range | 7.7 9.3 1.5 to 14.0 (n equals 5) | 3.2 3.5 0.2 to 5.5 (n equals 4) |
| 2 hour | mean median range | 15.7 13.0 11.0 to 25.0 (n equals 7) | 3.3 2.4 1.9 to 6 (n equals 5) |
| 3 hour | mean median range | 13.0 12.0 5.5 to 21.0 (n equals 5) | 5.8 6.5 3.9 to 7.4 (n equals 5) |
Dose administered immediately prior to eating.
Amoxicillin diffuses readily into most body tissues and fluids, with the exception of the brain and spinal fluid. The results of experiments involving the administration of clavulanic acid to animals suggest that this compound, like amoxicillin, is well distributed in body tissues.
12.4 Microbiology
Amoxicillin is a semisynthetic antibacterial with a broad spectrum of bactericidal activity against many gram-positive and gram-negative microorganisms. Amoxicillin is, however, susceptible to degradation by β-lactamases, and therefore, its spectrum of activity does not include organisms which produce these enzymes. Clavulanic acid is a β-lactam, structurally related to penicillin, which possesses the ability to inactivate a wide range of β-lactamase enzymes commonly found in microorganisms resistant to penicillins and cephalosporins. In particular, it has good activity against the clinically important plasmid-mediated β-lactamases frequently found responsible for transferred drug resistance.
The clavulanic acid component of AUGMENTIN ES-600 protects amoxicillin from degradation by β-lactamase enzymes and effectively extends the antibacterial spectrum of amoxicillin to include many bacteria normally resistant to amoxicillin and other β-lactam antibacterials. Thus, AUGMENTIN ES-600 possesses the distinctive properties of a broad spectrum antibacterial and a β-lactamase inhibitor.
Amoxicillin/clavulanic acid has been shown to be active against most isolates of the following microorganisms, both in vitro and in clinical infections [see Indications and Usage (1)].
Gram-Positive bacteria:
Streptococcus pneumoniae (including isolates with penicillin MICs less than or equal to 2 mcg/mL)
Gram-Negative bacteria:
Haemophilus influenzae (including β-lactamase-producing isolates)
Moraxella catarrhalis (including β-lactamase-producing isolates)
The following in vitro data are available, but their clinical significance is unknown. At least 90% of the following microorganisms exhibit in vitro minimum inhibitory concentrations (MICs) less than or equal to the susceptible breakpoint for amoxicillin/clavulanic acid. However, the safety and efficacy of amoxicillin/clavulanic acid in treating infections due to these microorganisms have not been established in adequate and well-controlled trials.
Gram-Positive bacteria:
Staphylococcus aureus (including β-lactamase-producing isolates)
Staphylococci which are resistant to methicillin/oxacillin must be considered resistant to amoxicillin/clavulanic acid.
Streptococcus pyogenes
S. pyogenes do not produce β-lactamase, and therefore, are susceptible to amoxicillin alone. Adequate and well-controlled clinical trials have established the effectiveness of amoxicillin alone in treating certain clinical infections due to S. pyogenes.
13.1 Carcinogenesis, Mutagenesis, Impairment Of Fertility
Long-term studies in animals have not been performed to evaluate carcinogenic potential. AUGMENTIN (4:1 ratio formulation of amoxicillin:clavulanate) was non-mutagenic in the Ames bacterial mutation assay, and the yeast gene conversion assay. AUGMENTIN was weakly positive in the mouse lymphoma assay, but the trend toward increased mutation frequencies in this assay occurred at concentrations that were also associated with decreased cell survival. AUGMENTIN was negative in the mouse micronucleus test, and in the dominant lethal assay in mice. Potassium clavulanate alone was tested in the Ames bacterial mutation assay and in the mouse micronucleus test and was negative in each of these assays.
AUGMENTIN (2:1 ratio formulation of amoxicillin:clavulanate) at oral doses of up to 1,200 mg/kg/day was found to have no effect on fertility and reproductive performance in rats. Based on body surface area (assuming a 20 kg child), this dose of amoxicillin is approximately 2 times the recommended clinical AUGMENTIN ES-600 dose of 90/6.4 mg/kg/day. For clavulanate, the dose multiple is approximately 15 times higher than the recommended clinical daily dose, also based on body surface area.
14 Clinical Studies
Two clinical studies were conducted in pediatric patients with acute otitis media. A non-comparative, open-label study assessed the bacteriologic and clinical efficacy of AUGMENTIN ES-600 (90/6.4 mg/kg/day, divided every 12 hours) for 10 days in 521 pediatric patients (3 to 50 months) with acute otitis media. The primary objective was to assess bacteriological response in children with acute otitis media due to S. pneumoniae with amoxicillin/clavulanic acid MICs of 4 mcg/mL. The study sought the enrollment of patients with the following risk factors: Failure of antibacterial therapy for acute otitis media in the previous 3 months, history of recurrent episodes of acute otitis media, 2 years or younger, or daycare attendance. Prior to receiving AUGMENTIN ES-600, all patients had tympanocentesis to obtain middle ear fluid for bacteriological evaluation. Patients from whom S. pneumoniae (alone or in combination with other bacteria) was isolated had a second tympanocentesis 4 to 6 days after the start of therapy. Clinical assessments were planned for all patients during treatment (4 to 6 days after starting therapy), as well as 2 to 4 days post-treatment and 15 to 18 days post-treatment. Bacteriological success was defined as the absence of the pretreatment pathogen from the on-therapy tympanocentesis specimen. Clinical success was defined as improvement or resolution of signs and symptoms. Clinical failure was defined as lack of improvement or worsening of signs and/or symptoms at any time following at least 72 hours of AUGMENTIN ES-600; patients who received an additional systemic antibacterial drug for otitis media after 3 days of therapy were considered clinical failures. Bacteriological eradication on therapy (day 4 to 6 visit) in the per protocol population is summarized in the following table:
* CI equals confidence intervals; 95% CIs are not adjusted for multiple comparisons. | |||
| Bacteriologic Eradication on Therapy | |||
| Pathogen | n/N | % | 95% CI* |
| All S. pneumoniae | 121/123 | 98 | (94.3, 99.8) |
| S. pneumoniae with penicillin MIC equal to 2 mcg/mL | 19/19 | 100 | (82.4, 100.0) |
| S. pneumoniae with penicillin MIC equal to 4 mcg/mL | 12/14 | 86 | (57.2, 98.2) |
| H. influenzae | 75/81 | 93 | (84.6, 97.2) |
| M. catarrhalis | 11/11 | 100 | (71.5, 100.0) |
Clinical assessments were made in the per protocol population 2 to 4 days post-therapy and 15 to 18 days post-therapy. Patients who responded to therapy 2 to 4 days post-therapy were followed for 15 to 18 days post-therapy to assess them for acute otitis media. Non-responders at 2 to 4 days post-therapy were considered failures at the latter timepoint.
| 2 to 4 Days Post-Therapy (Primary Endpoint) | |||
| Pathogen | n/N | % | 95% CI† |
| All S. pneumoniae | 122/137 | 89 | (82.6, 93.7) |
| S. pneumoniae with penicillin MIC equal to 2 mcg/mL | 17/20 | 85 | (62.1, 96.8) |
| S. pneumoniae with penicillin MIC equal to 4 mcg/mL | 11/14 | 79 | (49.2, 95.3) |
| H. influenzae | 141/162 | 87 | (80.9, 91.8) |
| M. catarrhalis | 22/26 | 85 | (65.1, 95.6) |
* S. pneumoniae strains with penicillin MICs of 2 or 4 mcg/mL are considered resistant to penicillin. | |||
† CI equals confidence intervals; 95% CIs are not adjusted for multiple comparisons. | |||
‡ Clinical assessments at 15 to 18 days post-therapy may have been confounded by viral infections and new episodes of acute otitis media with time elapsed post-treatment. | |||
| 15 to 18 Days Post-Therapy‡ (Secondary Endpoint) | |||
| Pathogen | n/N | % | 95% CI† |
| All S. pneumoniae | 95/136 | 70 | (61.4, 77.4) |
| S. pneumoniae with penicillin MIC equal to 2 mcg/mL | 11/20 | 55 | (31.5, 76.9) |
| S. pneumoniae with penicillin MIC equal to 4 mcg/mL | 5/14 | 36 | (12.8, 64.9) |
| H. influenzae | 106/156 | 68 | (60.0, 75.2) |
| M. catarrhalis | 14/25 | 56 | (34.9, 75.6) |
In the intent-to-treat analysis, overall clinical outcomes at 2 to 4 days and 15 to 18 days post-treatment in patients with S. pneumoniae with penicillin MIC equal to 2 mcg/mL and 4 mcg/mL were 29/41 (71%) and 17/41 (42%), respectively.
15 References
- Swanson-Biearman B, Dean BS, Lopez G, Krenzelok EP. The effects of penicillin and cephalosporin ingestions in children less than six years of age. Vet Hum Toxicol. 1988; 30:66-67.
Storage And Handling
Storage
Store dry powder for oral suspension at or below 25°C (77°F). Dispense in original container. Store reconstituted suspension under refrigeration. Discard unused suspension after 10 days.
17 Patient Counseling Information
Advise the patient to read the FDA-approved patient labeling (Patient Information)
Prinicple Display Panel: Container Label - 75 Ml
NDC 81964-003-51
600 mg/42.9 mg per 5 mL
AUGMENTIN ES-600®
amoxicillin and
clavulanate potassium
for oral suspension, USP
When reconstituted, each 5 mL contains:
AMOXICILLIN, 600 mg
as the trihydrate, and
CLAVULANIC ACID, 42.9 mg
(equivalent to 51.1 mg of clavulanate potassium)
75 mL
(when reconstituted)
U
S
ANTIBIOTICS Rx only
Prinicple Display Panel: Container Label - 125 Ml
NDC 81964-003-69
600 mg/42.9 mg per 5 mL
AUGMENTIN ES-600®
amoxicillin and
clavulanate potassium
for oral suspension, USP
When reconstituted, each 5 mL contains:
AMOXICILLIN, 600 mg
as the trihydrate, and
CLAVULANIC ACID, 42.9 mg
(equivalent to 51.1 mg of clavulanate potassium)
125 mL
(when reconstituted)
U
S
ANTIBIOTICS Rx only
Prinicple Display Panel: Container Label - 200 Ml
NDC 81964-003-54
600 mg/42.9 mg per 5 mL
AUGMENTIN ES-600®
amoxicillin and
clavulanate potassium
for oral suspension, USP
When reconstituted, each 5 mL contains:
AMOXICILLIN, 600 mg
as the trihydrate, and
CLAVULANIC ACID, 42.9 mg
(equivalent to 51.1 mg of clavulanate potassium)
200 mL
(when reconstituted)
U
S
ANTIBIOTICS Rx only
* Please review the disclaimer below.



