Product Images Amoxicillin And Clavulanate Potassium

View Photos of Packaging, Labels & Appearance

Product Label Images

The following 3 images provide visual information about the product associated with Amoxicillin And Clavulanate Potassium NDC 81964-212 by Usantibiotics, Llc, such as packaging, labeling, and the appearance of the drug itself. This resource could be helpful for medical professionals, pharmacists, and patients seeking to verify medication information and ensure they have the correct product.

label-20s-875mg-125mg - label 20s 875mg 125mg

label-20s-875mg-125mg - label 20s 875mg 125mg

This is a description for a medication named "AMOXICILLIN AND CLAVULANATE POTASSIUM TABLETS, USP". The product has a Pharmacode ID of '50'. The NDC (Or National Drug Code) for this medication is '81964-221-14'. No further description or details are available due to the lack of legible text.*

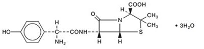
structure-amoxicillin - structure amox 1

structure-amoxicillin - structure amox 1

structure-clav-acid - structure clav 1

structure-clav-acid - structure clav 1

* The product label images have been analyzed using a combination of traditional computing and machine learning techniques. It should be noted that the descriptions provided may not be entirely accurate as they are experimental in nature. Use the information in this page at your own discretion and risk.