Product Images Abiraterone
View Photos of Packaging, Labels & Appearance
Product Label Images
The following 6 images provide visual information about the product associated with Abiraterone NDC 82009-140 by Quallent Pharmaceuticals Health Llc, such as packaging, labeling, and the appearance of the drug itself. This resource could be helpful for medical professionals, pharmacists, and patients seeking to verify medication information and ensure they have the correct product.
abiraterone-250mg-120s-container-label - abiraterone 250mg 120s container label

This is a prescription medication containing 250 mg of abiraterone acetate per tablet. It is recommended to store the tablets between 15°C to 30°C (59°F to 86°F). The tablets should be swallowed whole and kept out of reach of children. Pregnant women or those who may be pregnant are warned against handling the tablets without gloves. The medication is manufactured by Quallent Pharmaceuticals Health LLC and comes in a package of 120 tablets.*
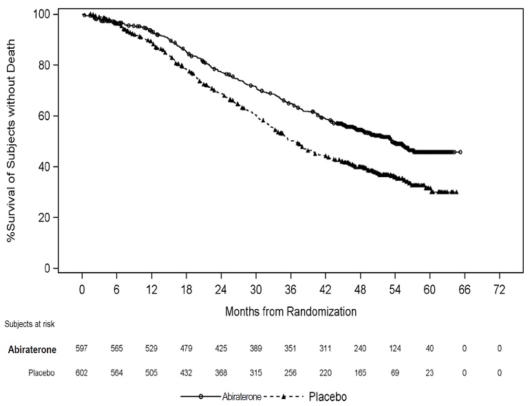
figure-02 - abiraterone figure 02

This data appears to be a comparison between subjects receiving Abiraterone and Placebo in a study where the percentage of subjects without death is evaluated over a period of months from randomization. The graph or data table seems to show the survival rates or outcomes of subjects over time for both Abiraterone and Placebo groups. The information could be useful for analyzing the efficacy of Abiraterone treatment on subjects in comparison to Placebo in terms of survival rate.*
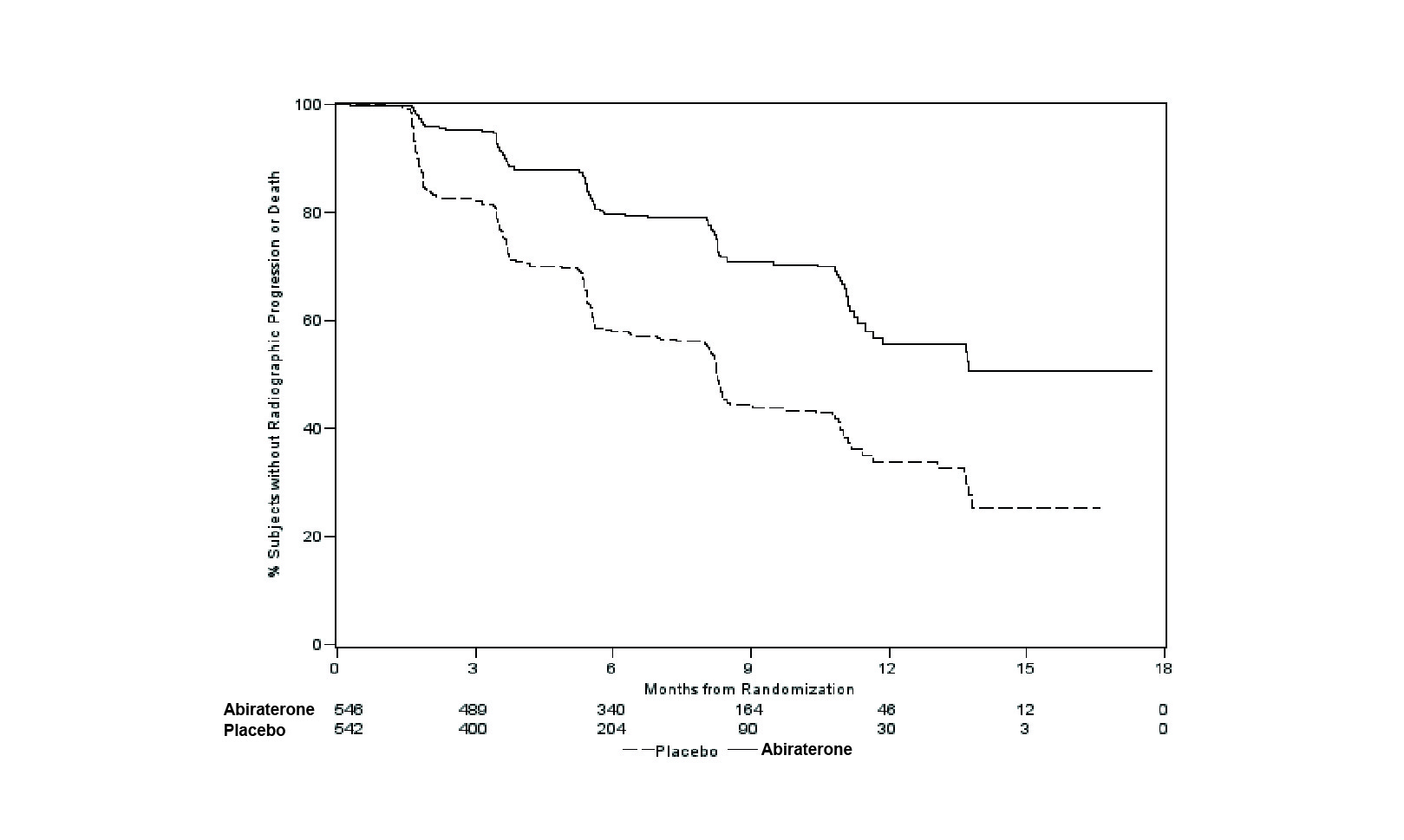
figure-03 - abiraterone figure 03

This is a statistical table comparing the subjects without radiographic progression or death between the Abiraterone and Placebo groups over a span of 12 months. The table shows the number of subjects in each group at different points in time.*
* The product label images have been analyzed using a combination of traditional computing and machine learning techniques. It should be noted that the descriptions provided may not be entirely accurate as they are experimental in nature. Use the information in this page at your own discretion and risk.