FDA Label for Atropine Sulfate
View Indications, Usage & Precautions
- 1 INDICATIONS AND USAGE
- 2 DOSAGE AND ADMINISTRATION
- 3 DOSAGE FORMS AND STRENGTHS
- 4 CONTRAINDICATIONS
- 5.1 PHOTOPHOBIA AND BLURRED VISION
- 5.2 ELEVATION OF BLOOD PRESSURE
- 5.3 POTENTIAL FOR EYE INJURY OR CONTAMINATION
- 6 ADVERSE REACTIONS
- 6.1 OCULAR ADVERSE REACTIONS
- 6.2 SYSTEMIC ADVERSE REACTIONS
- 7.1 MONOAMINE OXIDASE INHIBITORS (MAOI)
- 8.1 PREGNANCY
- 8.2 LACTATION
- 8.4 PEDIATRIC USE
- 8.5 GERIATRIC USE
- 10 OVERDOSAGE
- 11 DESCRIPTION
- 12.1 MECHANISM OF ACTION
- 12.2 PHARMACODYNAMICS
- 12.3 PHARMACOKINETICS
- 13.1 CARCINOGENESIS, MUTAGENESIS, IMPAIRMENT OF FERTILITY
- 14 CLINICAL STUDIES
- 16 HOW SUPPLIED/STORAGE AND HANDLING
- 17 PATIENT COUNSELING INFORMATION
- PACKAGE/LABEL DISPLAY PANEL
Atropine Sulfate Product Label
The following document was submitted to the FDA by the labeler of this product Bausch & Lomb Americas Inc.. The document includes published materials associated whith this product with the essential scientific information about this product as well as other prescribing information. Product labels may durg indications and usage, generic names, contraindications, active ingredients, strength dosage, routes of administration, appearance, warnings, inactive ingredients, etc.
1 Indications And Usage
Atropine Sulfate Ophthalmic Solution, USP 1% is indicated for:
2 Dosage And Administration
In individuals from three (3) months of age or greater, 1 drop topically to the cul-de-sac of the conjunctiva in one or both eyes as indicated, forty minutes prior to the intended maximal dilation time.
In individuals 3 years of age or greater, doses may be repeated up to twice daily as needed.
Discard the single-dose vial immediately after use in one or both eyes.
3 Dosage Forms And Strengths
Atropine Sulfate Ophthalmic Solution, USP 1%: each mL contains 10 mg of atropine sulfate.
4 Contraindications
Atropine Sulfate Ophthalmic Solution, USP 1% should not be used in anyone who has demonstrated a previous hypersensitivity or known allergic reaction to any ingredient of the formulation because it may recur.
5.1 Photophobia And Blurred Vision
Photophobia and blurred vision due to pupil unresponsiveness and cycloplegia may last up to 2 weeks.
5.2 Elevation Of Blood Pressure
Elevation in blood pressure from systemic absorption has been reported following conjunctival instillation of recommended doses of Atropine Sulfate Ophthalmic Solution, USP 1%.
5.3 Potential For Eye Injury Or Contamination
To avoid the potential for eye injury or contamination, care should be taken to avoid touching the single-dose vial to the eye or to any other surface.
6 Adverse Reactions
The following serious adverse reactions are described below and elsewhere in the labeling:
• Photophobia and Blurred Vision [see Warnings and Precautions (5.1)]• Elevation in Blood Pressure [see Warnings and Precautions (5.2)]
The following adverse reactions have been identified following use of atropine sulfate ophthalmic solution. Because these reactions are reported voluntarily from a population of uncertain size, it is not always possible to reliably estimate their frequency or establish a causal relationship to drug exposure.
6.1 Ocular Adverse Reactions
Eye pain and stinging occurs upon instillation of atropine sulfate ophthalmic solution. Other commonly occurring adverse reactions include blurred vision, photophobia, superficial keratitis and decreased lacrimation. Allergic reactions such as papillary conjunctivitis, contact dermatitis, and eyelid edema may also occur less commonly.
6.2 Systemic Adverse Reactions
Systemic effects of atropine are related to its anti-muscarinic activity. Systemic adverse events reported include dryness of skin, mouth, and throat from decreased secretions from mucous membranes; drowsiness, restlessness, irritability or delirium from stimulation of the central nervous system; tachycardia; flushed skin of the face and neck.
7.1 Monoamine Oxidase Inhibitors (Maoi)
The use of atropine and monoamine oxidase inhibitors (MAOI) is generally not recommended because of the potential to precipitate hypertensive crisis.
8.1 Pregnancy
Risk Summary
There are no adequate and well-controlled studies of Atropine Sulfate Ophthalmic Solution, USP 1% administration in pregnant women to inform a drug-associated risk. Adequate animal development and reproduction studies have not been conducted with atropine sulfate. In humans, 1% atropine sulfate is systemically bioavailable following topical ocular administration [see Clinical Pharmacology (12.3)]. Atropine Sulfate Ophthalmic Solution, USP 1% should only be used during pregnancy if the potential benefit justifies the potential risk to the fetus.
8.2 Lactation
Risk Summary
There is no information to inform risk regarding the presence of atropine in human milk following ocular administrations of Atropine Sulfate Ophthalmic Solution, USP 1% to the mother. The effects on breastfed infants and the effects on milk production are also unknown. The developmental and health benefits of breastfeeding should be considered along with the mother’s clinical need for Atropine Sulfate Ophthalmic Solution, USP 1% and any potential adverse effects on the breastfed child from Atropine Sulfate Ophthalmic Solution, USP 1%.
8.4 Pediatric Use
Due to the potential for systemic absorption, the use of Atropine Sulfate Ophthalmic Solution, USP 1% in children under the age of 3 months is not recommended and the use in children under 3 years of age should be limited to no more than one drop per eye per day. Safety and efficacy in children above the age of 3 months has been established in adequate and well controlled trials.
8.5 Geriatric Use
No overall differences in safety and effectiveness have been observed between elderly and younger adult patients.
10 Overdosage
In the event of accidental ingestion or toxic overdosage with Atropine Sulfate Ophthalmic Solution, USP 1%, supportive care may include a short acting barbiturate or diazepam as needed to control marked excitement and convulsions. Large doses for sedation should be avoided because central depressant action may coincide with the depression occurring late in atropine poisoning. Central stimulants are not recommended.
Physostigmine, given by slow intravenous injection of 1 to 4 mg (0.5 to 1 mg in pediatric populations), rapidly abolishes delirium and coma caused by large doses of atropine. Since physostigmine is rapidly destroyed, the patient may again lapse into coma after one to two hours, and repeated doses may be required.
Artificial respiration with oxygen may be necessary. Cooling measures may be needed to help to reduce fever, especially in pediatric populations.
The fatal adult dose of atropine is not known. In pediatric populations, 10 mg or less may be fatal.
11 Description
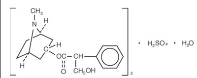
Atropine Sulfate Ophthalmic Solution, USP 1% is an aseptically prepared, sterile solution for topical ophthalmic use. The product does not contain an antimicrobial preservative. The active ingredient is represented by the chemical structure:
Chemical Name: Benzeneacetic acid, α-(hydroxymethyl)-, 8-methyl-8-azabicyclo[3.2.1.]oct-3-yl ester, endo –(±)-, sulfate (2:1) (salt), monohydrate.
Molecular Formula: (C17H23NO3)2 • H2SO4 • H2O
Molecular Weight: 694.84 g/mol
Each mL of Atropine Sulfate Ophthalmic Solution, USP 1% contains: Active: atropine sulfate 10 mg equivalent to 8.3 mg of atropine.
Inactives: boric acid, hydroxypropyl methylcellulose, hydrochloric acid and/or sodium hydroxide may be added to adjust pH (3.5 to 6.0), and water for injection USP.
12.1 Mechanism Of Action
Atropine is a reversible antagonist of muscarine-like actions of acetylcholine and is therefore classified as an anti-muscarinic agent. Atropine is relatively selective for muscarinic receptors. Its potency at nicotinic receptors is much lower, and actions at non-muscarinic receptors are generally undetectable clinically. Atropine does not distinguish among the M1, M2, and M3 subgroups of muscarinic receptors.
The pupillary constrictor muscle depends on muscarinic cholinoceptor activation. This activation is blocked by topical atropine resulting in unopposed sympathetic dilator activity and mydriasis. Atropine also weakens the contraction of the ciliary muscle, or cycloplegia. Cycloplegia results in loss of the ability to accommodate such that the eye cannot focus for near vision.
12.2 Pharmacodynamics
The onset of action after administration of Atropine Sulfate Ophthalmic Solution, USP 1% generally occurs within minutes with maximal effect seen in hours and the effect can last multiple days [see Clinical Studies (14)].
12.3 Pharmacokinetics
In a study of healthy subjects, after topical ocular administration of 30 μL of atropine sulfate ophthalmic solution 1%, the mean (± SD) systemic bioavailability of l-hyoscyamine was reported to be approximately 64 ± 29% (range 19% to 95%) as compared to intravenous administration of atropine sulfate. The median (range) time to maximum plasma concentration (Tmax) was 19 minutes (range 3 to 60 minutes), and the mean (±SD) peak plasma concentration (Cmax) of l-hyoscyamine was 288 ± 73 pg/mL. The mean (±SD) plasma half-life was reported to be approximately 2.5 ± 0.8 hours.
In a separate study of patients undergoing ocular surgery, after topical ocular administration of 40 μL of atropine sulfate ophthalmic solution, 1%, the mean (± SD) plasma Cmax of l-hyoscyamine was 860 ± 402 pg/mL, which was observed within 8 minutes following administration.
13.1 Carcinogenesis, Mutagenesis, Impairment Of Fertility
Atropine sulfate was negative in the Salmonella/microsome mutagenicity test. Studies to evaluate carcinogenicity and impairment of fertility have not been conducted.
14 Clinical Studies
Topical administration of Atropine Sulfate Ophthalmic Solution, USP 1% results in mydriasis and/or cycloplegia with efficacy demonstrated in both adults and children. The maximum effect for mydriasis is achieved in about 30–40 minutes after administration, with recovery after approximately 7–10 days. The maximum effect for cycloplegia is achieved within 60–180 minutes after administration, with recovery after approximately 7–12 days.
16 How Supplied/Storage And Handling
Atropine Sulfate Ophthalmic Solution, USP 1% is supplied as an aseptically prepared, sterile solution for topical ophthalmic use supplied as a 0.4 mL fill in a translucent, low-density polyethylene, single-dose vial. One (1) strip of 5 single-dose vials is packaged into a foil pouch.
NDC 82260-001-01 10 single-dose vials. 2 foil pouches each containing one strip of 5 single-dose vials.
Storage and Handling:
Store at 20°C to 25°C (68°F to 77°F).
Store single-dose vials in the foil pouches. Opened vials cannot be resealed and should be discarded immediately after use.
17 Patient Counseling Information
• Advise patients that drops will sting upon instillation that they may experience blurry vision and sensitivity to light and should protect their eyes in bright illumination during dilation. These effects may last up to a couple weeks.• Advise patients to keep the single-dose vials in the foil pouches until ready to use. The solution from one single-dose vial is to be used immediately after opening to dose one or both eye(s) of a single patient. The single-dose vial, including any remaining contents, should be discarded immediately after administration [see Dosage and Administration (2)].• Advise patients not to touch the tip of the single-dose vial to their eye or to any surface, in order to avoid eye injury or contamination of the solution.
Distributed by:
Bausch & Lomb Americas Inc.
Bridgewater, NJ 08807 USA
© 2022 Bausch & Lomb Incorporated or its affiliates
9775600
Package/Label Display Panel
NDC 82260-001-01
Atropine Sulfate
Ophthalmic
Solution, USP
1%
Sterile
FOR TOPICAL OPHTHALMIC USE
NOT FOR INJECTION
Rx only
10 x 0.4 mL
Single-Dose Vials
BAUSCH + LOMB
9769200
* Please review the disclaimer below.

