Product Images Abiraterone Acetate
View Photos of Packaging, Labels & Appearance
Product Label Images
The following 7 images provide visual information about the product associated with Abiraterone Acetate NDC 82293-001 by Novugen Pharma (usa) Llc, such as packaging, labeling, and the appearance of the drug itself. This resource could be helpful for medical professionals, pharmacists, and patients seeking to verify medication information and ensure they have the correct product.
Figure 2 - figure 2

This appears to be a graph showing the number of subjects without death over time in a study comparing a placebo treatment to a treatment with Abiralerone acetate. The x-axis shows months from randomization and the y-axis shows the number of subjects without death. The line for Abiralerone acetate indicates a higher number of subjects without death compared to placebo.*
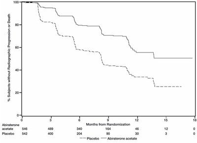
Figure 4 - figure 4

This appears to be a plot or chart displaying the survival of subjects without death over a period of time. The two lines on the plot represent the treatment group, receiving Abiraterone Acetate, and the control group, receiving a placebo. The x-axis of the plot represents the months passed from the start of the study, and the y-axis showcases the percentage of subjects who survived without death. The plot seems to show that Abiraterone Acetate offered a greater percentage of survivors throughout the study period as compared to the Placebo group.*
Abiraterone Acetate Tablets 250 mg Bottle Label - image250mg

Abiraterone Acetate is a medication that comes in tablet form with 250 mg of abiraterone acetate, USP. It is usually prescribed according to the instructions given in the package. The tablets are film-coated and come in a container with 120 tablets. The medication should be stored at room temperature between 20°C to 25°C (68°F to 77°F), but it may be kept between 15°C to 30°C (59°F to 86°F) for short periods. Women who are or may be pregnant should not handle the medication without gloves. The medication should be kept out of reach of children and should be swallowed whole, not chewed or crushed. The manufacturer Novugen Pharma (USA) LLC distributes the medication from Princeton, NJ 08540, USA, and it is made in France.*
Abiraterone Acetate Tablets 500 mg Bottle Label - image500mg

Abiraterone Acetate Tablets are used to treat prostate cancer. Each film-coated tablet contains 500mg of abiraterone acetate. The recommended dosage can be found in the package insert. Women who are pregnant or may become pregnant should not handle these tablets without gloves. The tablets should be stored between 20°C to 25°C, and should not be crushed or chewed. Novugen Pharma (USA) LLC distributes these tablets in the USA, and they are made in France.*
* The product label images have been analyzed using a combination of traditional computing and machine learning techniques. It should be noted that the descriptions provided may not be entirely accurate as they are experimental in nature. Use the information in this page at your own discretion and risk.