Product Images Digoxin

View Photos of Packaging, Labels & Appearance

Product Label Images

The following 3 images provide visual information about the product associated with Digoxin NDC 82685-201 by Oliva Therapeutics, Llc, such as packaging, labeling, and the appearance of the drug itself. This resource could be helpful for medical professionals, pharmacists, and patients seeking to verify medication information and ensure they have the correct product.

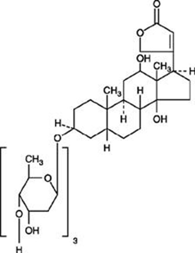
4d4ac3fe-figure-01 - 4d4ac3fe figure 01

4d4ac3fe-figure-01 - 4d4ac3fe figure 01

C:\Users\admin\Desktop\Digoxin\label-125mcg.jpg - 4d4ac3fe figure 02

C:\Users\admin\Desktop\Digoxin\label-125mcg.jpg - 4d4ac3fe figure 02

This appears to be a label for a medication with dosage and storage instructions. The medication should be stored at a controlled room temperature of 15-25°C (59-77°F) in a dry place and away from light. It should be kept out of reach of children and dispensed in a tight, light-resistant container. The medication has a medicine code of 3 82685-201-10 2 P.*

4d4ac3fe-figure-03 - 4d4ac3fe figure 03

4d4ac3fe-figure-03 - 4d4ac3fe figure 03

This text seems to be a mix of different information, including a medication warning, a storage condition, and some unreadable characters. The readable text mentions that the medication should be kept out of reach of children and stored in a dry place at controlled room temperature. It also advises to dispense it in a tight, light-resistant container. There is no clear indication of what the medication is used for or what its name is.*

* The product label images have been analyzed using a combination of traditional computing and machine learning techniques. It should be noted that the descriptions provided may not be entirely accurate as they are experimental in nature. Use the information in this page at your own discretion and risk.