Product Images Bumetanide

View Photos of Packaging, Labels & Appearance

Product Label Images

The following 2 images provide visual information about the product associated with Bumetanide NDC 82804-119 by Proficient Rx Lp, such as packaging, labeling, and the appearance of the drug itself. This resource could be helpful for medical professionals, pharmacists, and patients seeking to verify medication information and ensure they have the correct product.

82804-119-90 - 1mg label

82804-119-90 - 1mg label

This is a description of Bumetanide tablets, each containing 1mg of Bumetanide, which are packaged in bottles of 30 and 90 tablets. The tablets are yellow, round, biconvex, and bisected with "E" above and "129" below the bisect on one side. The tablets are plain on the reverse side. The product is manufactured in India by Sandoz Private Ltd. for Sandoz Inc., and the product is a product of Italy. Additionally, the medication should be stored at 20°-25°C (68°-77°F) and should be kept out of the reach of children.*

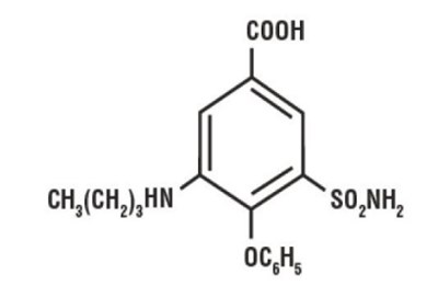
Chemical-Structure.jpg - Chemical Structure

Chemical-Structure.jpg - Chemical Structure

* The product label images have been analyzed using a combination of traditional computing and machine learning techniques. It should be noted that the descriptions provided may not be entirely accurate as they are experimental in nature. Use the information in this page at your own discretion and risk.