FDA Label for Escitalopram
View Indications, Usage & Precautions
- WARNING: SUICIDAL THOUGHTS AND BEHAVIORS
- 1.1 MAJOR DEPRESSIVE DISORDER
- 1.2 GENERALIZED ANXIETY DISORDER
- 2 DOSAGE AND ADMINISTRATION
- 2.1 MAJOR DEPRESSIVE DISORDER
- 2.2 GENERALIZED ANXIETY DISORDER
- 2.3 SCREEN FOR BIPOLAR DISORDER TO STARTING ESCITALOPRAM TABLETS
- 2.4 SPECIAL POPULATIONS
- 2.5 DISCONTINUATION OF TREATMENT WITH ESCITALOPRAM TABLETS
- 2.6 SWITCHING A PATIENT TO OR FROM A MONOAMINE OXIDASE INHIBITOR (MAOI) INTENDED TO TREAT PSYCHIATRIC DISORDERS
- 2.7 USE OF ESCITALOPRAM TABLETS WITH OTHER MAOIS SUCH AS LINEZOLID OR METHYLENE BLUE
- 3 DOSAGE FORMS AND STRENGTHS
- 4.1 MONOAMINE OXIDASE INHIBITORS (MAOIS)
- 4.2 PIMOZIDE
- 4.3 HYPERSENSITIVITY TO ESCITALOPRAM OR CITALOPRAM
- 5.1 SUICIDAL THOUGHTS AND BEHAVIORS IN ADOLESCENTS AND YOUNG ADULTS
- 5.2 SEROTONIN SYNDROME
- 5.3 DISCONTINUATION OF TREATMENT WITH ESCITALOPRAM
- 5.4 SEIZURES
- 5.5 ACTIVATION OF MANIA OR HYPOMANIA
- 5.6 HYPONATREMIA
- 5.7 ABNORMAL BLEEDING
- 5.8 INTERFERENCE WITH COGNITIVE AND MOTOR PERFORMANCE
- 5.9 ANGLE CLOSURE GLAUCOMA
- 5.10 USE IN PATIENTS WITH CONCOMITANT ILLNESS
- 5.11 SEXUAL DYSFUNCTION
- 6.1 CLINICAL TRIALS EXPERIENCE
- 6.2 POST-MARKETING EXPERIENCE
- 7.1 MONOAMINE OXIDASE INHIBITORS (MAOIS)
- 7.2 SEROTONERGIC DRUGS
- 7.3 TRIPTANS
- 7.4 CNS DRUGS
- 7.5 ALCOHOL
- 7.6 DRUGS THAT INTERFERE WITH HEMOSTASIS (NSAIDS, ASPIRIN, WARFARIN, ETC.)
- 7.7 CIMETIDINE
- 7.8 DIGOXIN
- 7.9 LITHIUM
- 7.10 PIMOZIDE AND CELEXA
- 7.11 SUMATRIPTAN
- 7.12 THEOPHYLLINE
- 7.13 WARFARIN
- 7.14 CARBAMAZEPINE
- 7.15 TRIAZOLAM
- 7.16 KETOCONAZOLE
- 7.17 RITONAVIR
- 7.18 CYP3A4 AND -2C19 INHIBITORS
- 7.19 DRUGS METABOLIZED BY CYTOCHROME P4502D6
- 7.20 METOPROLOL
- 7.21 ELECTROCONVULSIVE THERAPY (ECT)
- 8.1 PREGNANCY
- 8.2 LACTATION
- 8.4 PEDIATRIC USE
- 8.5 GERIATRIC USE
- 9.2 ABUSE AND DEPENDENCE
- 10 OVERDOSAGE
- 11 DESCRIPTION
- 12.1 MECHANISM OF ACTION
- 12.2 PHARMACODYNAMICS
- 12.3 PHARMACOKINETICS
- 13.1 CARCINOGENESIS, MUTAGENESIS, IMPAIRMENT OF FERTILITY
- 13.2 ANIMAL TOXICOLOGY AND/OR PHARMACOLOGY
- 14.1 MAJOR DEPRESSIVE DISORDER
- 14.2 GENERALIZED ANXIETY DISORDER
- 16 HOW SUPPLIED/STORAGE AND HANDLING
- 17 PATIENT COUNSELING INFORMATION
- MEDICATION GUIDE
Escitalopram Product Label
The following document was submitted to the FDA by the labeler of this product Quality Care Products, Llc. The document includes published materials associated whith this product with the essential scientific information about this product as well as other prescribing information. Product labels may durg indications and usage, generic names, contraindications, active ingredients, strength dosage, routes of administration, appearance, warnings, inactive ingredients, etc.
Warning: Suicidal Thoughts And Behaviors
Antidepressants increased the risk of suicidal thoughts and behaviors in pediatric and young adult patients in short-term studies. Closely monitor all antidepressant-treated patients for clinical worsening, and for emergence of suicidal thoughts and behaviors [see Warnings and Precautions (5.1)]. Escitalopram tablets are not approved for use in pediatric patients less than 12 years of age [see Use in Specific Populations (8.4)].
1.1 Major Depressive Disorder
Escitalopram tablets are indicated for the acute and maintenance treatment of major depressive disorder in adults and in adolescents 12 to 17 years of age [see Clinical Studies (14.1)].
A major depressive episode (DSM-IV) implies a prominent and relatively persistent (nearly every day for at least 2 weeks) depressed or dysphoric mood that usually interferes with daily functioning, and includes at least five of the following nine symptoms: depressed mood, loss of interest in usual activities, significant change in weight and/or appetite, insomnia or hypersomnia, psychomotor agitation or retardation, increased fatigue, feelings of guilt or worthlessness, slowed thinking or impaired concentration, a suicide attempt or suicidal ideation.
1.2 Generalized Anxiety Disorder
Escitalopram tablets are indicated for the acute treatment of Generalized Anxiety Disorder (GAD) in adults [see Clinical Studies (14.2)].
Generalized Anxiety Disorder (DSM-IV) is characterized by excessive anxiety and worry (apprehensive expectation) that is persistent for at least 6 months and which the person finds difficult to control. It must be associated with at least 3 of the following symptoms: restlessness or feeling keyed up or on edge, being easily fatigued, difficulty concentrating or mind going blank, irritability, muscle tension, and sleep disturbance.
2 Dosage And Administration
Escitalopram tablets should be administered once daily, in the morning or evening, with or without food.
2.1 Major Depressive Disorder
Initial Treatment
Adolescents
The recommended dose of escitalopram tablets is 10 mg once daily. A flexible-dose trial of escitalopram tablets (10 to 20 mg/day) demonstrated the effectiveness of escitalopram tablets [see Clinical Studies (14.1)]. If the dose is increased to 20 mg, this should occur after a minimum of three weeks.
Adults
The recommended dose of escitalopram tablets is 10 mg once daily. A fixed-dose trial of escitalopram tablets demonstrated the effectiveness of both 10 mg and 20 mg of escitalopram tablets, but failed to demonstrate a greater benefit of 20 mg over 10 mg [see Clinical Studies (14.1)]. If the dose is increased to 20 mg, this should occur after a minimum of one week.
Maintenance Treatment
It is generally agreed that acute episodes of major depressive disorder require several months or longer of sustained pharmacological therapy beyond response to the acute episode. Systematic evaluation of continuing escitalopram tablets 10 or 20 mg/day in adults patients with major depressive disorder who responded while taking escitalopram tablets during an 8-week, acute-treatment phase demonstrated a benefit of such maintenance treatment [see Clinical Studies (14.1)]. Nevertheless, the physician who elects to use escitalopram tablets for extended periods should periodically re-evaluate the long-term usefulness of the drug for the individual patient. Patients should be periodically reassessed to determine the need for maintenance treatment.
2.2 Generalized Anxiety Disorder
Initial Treatment
Adults
The recommended starting dose of escitalopram tablets is 10 mg once daily. If the dose is increased to 20 mg, this should occur after a minimum of one week.
Maintenance Treatment
Generalized anxiety disorder is recognized as a chronic condition. The efficacy of escitalopram tablets in the treatment of GAD beyond 8 weeks has not been systematically studied. The physician who elects to use escitalopram tablets for extended periods should periodically re-evaluate the long-term usefulness of the drug for the individual patient.
2.3 Screen For Bipolar Disorder To Starting Escitalopram Tablets
Prior to initiating treatment with escitalopram tablets or another antidepressant, screen patients for a personal family history of bipolar disorder, mania, or hypomania [see Warnings and Precautions (5.5)].
2.4 Special Populations
10 mg/day is the recommended dose for most elderly patients and patients with hepatic impairment.
No dosage adjustment is necessary for patients with mild or moderate renal impairment. Escitalopram tablets should be used with caution in patients with severe renal impairment.
2.5 Discontinuation Of Treatment With Escitalopram Tablets
Symptoms associated with discontinuation of escitalopram tablets and other SSRIs and SNRIs have been reported [see Warnings and Precautions (5.3)]. Patients should be monitored for these symptoms when discontinuing treatment. A gradual reduction in the dose rather than abrupt cessation is recommended whenever possible. If intolerable symptoms occur following a decrease in the dose or upon discontinuation of treatment, then resuming the previously prescribed dose may be considered. Subsequently, the physician may continue decreasing the dose but at a more gradual rate.
2.6 Switching A Patient To Or From A Monoamine Oxidase Inhibitor (Maoi) Intended To Treat Psychiatric Disorders
At least 14 days should elapse between discontinuation of an MAOI intended to treat psychiatric disorders and initiation of therapy with escitalopram tablets. Conversely, at least 14 days should be allowed after stopping escitalopram tablets before starting an MAOI intended to treat psychiatric disorders [see Contraindications (4.1)].
2.7 Use Of Escitalopram Tablets With Other Maois Such As Linezolid Or Methylene Blue
Do not start escitalopram tablets in a patient who is being treated with linezolid or intravenous methylene blue because there is an increased risk of serotonin syndrome. In a patient who requires more urgent treatment of a psychiatric condition, other interventions, including hospitalization, should be considered [see Contraindications (4.1)].
In some cases, a patient already receiving escitalopram tablets therapy may require urgent treatment with linezolid or intravenous methylene blue. If acceptable alternatives to linezolid or intravenous methylene blue treatment are not available and the potential benefits of linezolid or intravenous methylene blue treatment are judged to outweigh the risks of serotonin syndrome in a particular patient, escitalopram tablets should be stopped promptly, and linezolid or intravenous methylene blue can be administered. The patient should be monitored for symptoms of serotonin syndrome for 2 weeks or until 24 hours after the last dose of linezolid or intravenous methylene blue, whichever comes first. Therapy with escitalopram tablets may be resumed 24 hours after the last dose of linezolid or intravenous methylene blue [see Warnings and Precautions (5.2)].
The risk of administering methylene blue by non-intravenous routes (such as oral tablets or by local injection) or in intravenous doses much lower than 1 mg/kg with escitalopram tablets is unclear. The clinician should, nevertheless, be aware of the possibility of emergent symptoms of serotonin syndrome with such use [see Warnings and Precautions (5.2)].
3 Dosage Forms And Strengths
Tablets
Escitalopram Tablets, USP 5 mg are available as White, round, biconvex, film coated tablets, engraved "77" on one side and plain on the other side.
Escitalopram Tablets, USP 10 mg are available as White, round, biconvex, film coated tablets, engraved "74" over score on one side and plain on the other side.
Escitalopram Tablets, USP 20 mg are available as White, round, biconvex, film coated tablets, engraved "71" over score on one side and plain on the other side.
4.1 Monoamine Oxidase Inhibitors (Maois)
The use of MAOIs intended to treat psychiatric disorders with escitalopram tablets or within 14 days of stopping treatment with escitalopram tablets is contraindicated because of an increased risk of serotonin syndrome. The use of escitalopram tablets within 14 days of stopping an MAOI intended to treat psychiatric disorders is also contraindicated [see Dosage and Administration (2.5), and Warnings and Precautions (5.2)].
Starting escitalopram tablets in a patient who is being treated with MAOIs such as linezolid or intravenous methylene blue is also contraindicated because of an increased risk of serotonin syndrome [see Dosage and Administration (2.6), and Warnings and Precautions (5.2)].
4.2 Pimozide
Concomitant use in patients taking pimozide is contraindicated [see Drug Interactions (7.10)].
4.3 Hypersensitivity To Escitalopram Or Citalopram
Escitalopram tablets are contraindicated in patients with a hypersensitivity to escitalopram or citalopram or any of the inactive ingredients in escitalopram tablets.
5.1 Suicidal Thoughts And Behaviors In Adolescents And Young Adults
In pooled analyses of placebo-controlled trials of antidepressant drugs (SSRIs and other antidepressant classes) that included approximately 77,000 adult patients and 4,500 pediatric patients, the incidence of suicidal thoughts and behaviors in the antidepressant-treated patients age 24 years and younger was greater than in placebo-treated patients. There was considerable variation in risk of suicidal thoughts and behaviors among drugs, but there was an increased risk identified in young patients for most drugs studied. There were differences in absolute risk of suicidal thoughts and behaviors across the different indications, with the highest incidence in patients with MDD. The drug-placebo differences in the number of cases of suicidal thoughts and behaviors per 1000 patients treated are provided in Table 1.
Table 1: Risk Differences of the Number of Patients of Suicidal Thoughts and Behaviors in the Pooled Placebo-Controlled Trials of Antidepressants in Pediatric and Adult Patients
| Age Range | Drug-Placebo Difference in Number of Patients of Suicidal Thoughts and Behaviors per 1,000 Patients Treated |
| Increases Compared to Placebo | |
| <18 years old | 14 additional patients |
| 18 to 24 years old | 5 additional patients |
| Decreases Compared to Placebo | |
| 25 to 64 years old | 1 fewer patient |
| ≥65 years old | 6 fewer patients |
It is unknown whether the risk of suicidal thoughts and behaviors in children, adolescents, and young adults extends to longer-term use, i.e., beyond four months. However, there is substantial evidence from placebo-controlled maintenance trials in adults with MDD that antidepressants delay the recurrence of depression and that depression itself is a risk factor for suicidal thoughts and behaviors.
Monitor all antidepressant-treated patients for any indication for clinical worsening and emergence of suicidal thoughts and behaviors, especially during the initial few months of drug therapy, and at times of dosage changes. Counsel family members or caregivers of patients to monitor for changes in behavior and to alert the healthcare provider. Consider changing the therapeutic regimen, including possibly discontinuing escitalopram tablets, in patients whose depression is persistently worse, or who are experiencing emergent suicidal thoughts or behaviors.
5.2 Serotonin Syndrome
The development of a potentially life-threatening serotonin syndrome has been reported with SNRIs and SSRIs, including escitalopram, alone but particularly with concomitant use of other serotonergic drugs (including triptans, tricyclic antidepressants, fentanyl, lithium, tramadol, tryptophan, buspirone, amphetamines, and St. John's Wort) and with drugs that impair metabolism of serotonin (in particular, MAOIs, both those intended to treat psychiatric disorders and also others, such as linezolid and intravenous methylene blue).
Serotonin syndrome symptoms may include mental status changes (e.g., agitation, hallucinations, delirium, and coma), autonomic instability (e.g., tachycardia, labile blood pressure, dizziness, diaphoresis, flushing, hyperthermia), neuromuscular symptoms (e.g., tremor, rigidity, myoclonus, hyperreflexia, incoordination) seizures, and/or gastrointestinal symptoms (e.g., nausea, vomiting, diarrhea). Patients should be monitored for the emergence of serotonin syndrome.
The concomitant use of escitalopram with MAOIs intended to treat psychiatric disorders is contraindicated. Escitalopram should also not be started in a patient who is being treated with MAOIs such as linezolid or intravenous methylene blue. All reports with methylene blue that provided information on the route of administration involved intravenous administration in the dose range of 1 mg/kg to 8 mg/kg. No reports involved the administration of methylene blue by other routes (such as oral tablets or local tissue injection) or at lower doses. There may be circumstances when it is necessary to initiate treatment with an MAOI such as linezolid or intravenous methylene blue in a patient taking escitalopram tablets. Escitalopram tablets should be discontinued before initiating treatment with the MAOI [see Contraindications (4.1) and Dosage and Administration (2.5 and 2.6)].
If concomitant use of escitalopram tablets with other serotonergic drugs including, triptans, tricyclic antidepressants, fentanyl, lithium, tramadol, buspirone, tryptophan, amphetamines and St. John's Wort is clinically warranted, patients should be made aware of a potential increased risk for serotonin syndrome, particularly during treatment initiation and dose increases.
Treatment with escitalopram and any concomitant serotonergic agents, should be discontinued immediately if the above events occur and supportive symptomatic treatment should be initiated.
5.3 Discontinuation Of Treatment With Escitalopram
During marketing of escitalopram and other SSRIs and SNRIs (serotonin and norepinephrine reuptake inhibitors), there have been spontaneous reports of adverse events occurring upon discontinuation of these drugs, particularly when abrupt, including the following: dysphoric mood, irritability, agitation, dizziness, sensory disturbances (e.g., paresthesias such as electric shock sensations), anxiety, confusion, headache, lethargy, emotional lability, insomnia, and hypomania. While these events are generally self-limiting, there have been reports of serious discontinuation symptoms.
Patients should be monitored for these symptoms when discontinuing treatment with escitalopram. A gradual reduction in the dose rather than abrupt cessation is recommended whenever possible. If intolerable symptoms occur following a decrease in the dose or upon discontinuation of treatment, then resuming the previously prescribed dose may be considered. Subsequently, the physician may continue decreasing the dose but at a more gradual rate [see Dosage and Administration (2.4)].
5.4 Seizures
Although anticonvulsant effects of racemic citalopram have been observed in animal studies, escitalopram has not been systematically evaluated in patients with a seizure disorder. These patients were excluded from clinical studies during the product's premarketing testing. In clinical trials of escitalopram, cases of convulsion have been reported in association with escitalopram treatment. Like other drugs effective in the treatment of major depressive disorder, escitalopram should be introduced with care in patients with a history of seizure disorder.
5.5 Activation Of Mania Or Hypomania
In patients with bipolar disorder, treating a depressive episode with escitalopram tablets or another antidepressant may precipitate a mixed/manic episode. In placebo-controlled trials of escitalopram tablets in major depressive disorder, activation of mania/hypomania was reported in one (0.1%) of 715 patients treated with escitalopram tablets and in none of the 592 patients treated with placebo. One additional case of hypomania has been reported in association with escitalopram tablets treatment. Activation of mania/hypomania has also been reported in a small proportion of patients with major affective disorders treated with racemic citalopram and other marketed drugs effective in the treatment of major depressive disorder. Prior to initiating treatment with escitalopram tablets, screen patients for any personal or family history of bipolar disorder, mania, or hypomania [see Dosage and Administration (2.3)].
5.6 Hyponatremia
Hyponatremia may occur as a result of treatment with SSRIs and SNRIs, including escitalopram. In many cases, this hyponatremia appears to be the result of the syndrome of inappropriate antidiuretic hormone secretion (SIADH), and was reversible when escitalopram was discontinued. Cases with serum sodium lower than 110 mmol/L have been reported. Elderly patients may be at greater risk of developing hyponatremia with SSRIs and SNRIs. Also, patients taking diuretics or who are otherwise volume depleted may be at greater risk [seeGeriatric Use (8.5)]. Discontinuation of escitalopram should be considered in patients with symptomatic hyponatremia and appropriate medical intervention should be instituted.
Signs and symptoms of hyponatremia include headache, difficulty concentrating, memory impairment, confusion, weakness, and unsteadiness, which may lead to falls. Signs and symptoms associated with more severe and/or acute cases have included hallucination, syncope, seizure, coma, respiratory arrest, and death.
5.7 Abnormal Bleeding
SSRIs and SNRIs, including escitalopram, may increase the risk of bleeding events. Concomitant use of aspirin, nonsteroidal antiinflammatory drugs, warfarin, and other anticoagulants may add to the risk. Case reports and epidemiological studies (case-control and cohort design) have demonstrated an association between use of drugs that interfere with serotonin reuptake and the occurrence of gastrointestinal bleeding. Bleeding events related to SSRIs and SNRIs use have ranged from ecchymoses, hematomas, epistaxis, and petechiae to life-threatening hemorrhages.
Patients should be cautioned about the risk of bleeding associated with the concomitant use of escitalopram and NSAIDs, aspirin, or other drugs that affect coagulation.
5.8 Interference With Cognitive And Motor Performance
In a study in normal volunteers, escitalopram 10 mg/day did not produce impairment of intellectual function or psychomotor performance. Because any psychoactive drug may impair judgment, thinking, or motor skills, however, patients should be cautioned about operating hazardous machinery, including automobiles, until they are reasonably certain that escitalopram therapy does not affect their ability to engage in such activities.
5.9 Angle Closure Glaucoma
Angle Closure Glaucoma: The pupillary dilation that occurs following use of many antidepressant drugs including escitalopram tablets may trigger an angle closure attack in a patient with anatomically narrow angles who does not have a patent iridectomy.
5.10 Use In Patients With Concomitant Illness
Clinical experience with escitalopram in patients with certain concomitant systemic illnesses is limited. Caution is advisable in using escitalopram in patients with diseases or conditions that produce altered metabolism or hemodynamic responses.
Escitalopram has not been systematically evaluated in patients with a recent history of myocardial infarction or unstable heart disease.
Patients with these diagnoses were generally excluded from clinical studies during the product's premarketing testing.
In subjects with hepatic impairment, clearance of racemic citalopram was decreased and plasma concentrations were increased. The recommended dose of escitalopram in hepatically impaired patients is 10 mg/day [see Dosage and Administration (2.3)].
Because escitalopram is extensively metabolized, excretion of unchanged drug in urine is a minor route of elimination. Until adequate numbers of patients with severe renal impairment have been evaluated during chronic treatment with escitalopram, however, it should be used with caution in such patients [see Dosage and Administration (2.3)].
5.11 Sexual Dysfunction
Use of SSRIs, including escitalopram tablets, may cause symptoms of sexual dysfunction [see Adverse Reactions (6.1)]. In male patients, SSRI use may result in ejaculatory delay or failure, decreased libido, and erectile dysfunction. In female patients, SSRI use may result in decreased libido and delayed or absent orgasm.
It is important for prescribers to inquire about sexual function prior to initiation of escitalopram tablets and to inquire specifically about changes in sexual function during treatment, because sexual function may not be spontaneously reported. When evaluating changes in sexual function, obtaining a detailed history (including timing of symptom onset) is important because sexual symptoms may have other causes, including the underlying psychiatric disorder. Discuss potential management strategies to support patients in making informed decisions about treatment.
6.1 Clinical Trials Experience
Because clinical studies are conducted under widely varying conditions, adverse reaction rates observed in the clinical studies of a drug cannot be directly compared to rates in the clinical studies of another drug and may not reflect the rates observed in practice.
Clinical Trial Data Sources
Pediatrics (6 to 17 years)
Adverse events were collected in 576 pediatric patients (286 escitalopram, 290 placebo) with major depressive disorder in double-blind placebo-controlled studies. Safety and effectiveness of escitalopram in pediatric patients less than 12 years of age has not been established.
Adults
Adverse events information for escitalopram was collected from 715 patients with major depressive disorder who were exposed to escitalopram and from 592 patients who were exposed to placebo in double-blind, placebo-controlled trials. An additional 284 patients with major depressive disorder were newly exposed to escitalopram in open-label trials. The adverse event information for escitalopram in patients with GAD was collected from 429 patients exposed to escitalopram and from 427 patients exposed to placebo in double-blind, placebo-controlled trials.
Adverse events during exposure were obtained primarily by general inquiry and recorded by clinical investigators using terminology of their own choosing. Consequently, it is not possible to provide a meaningful estimate of the proportion of individuals experiencing adverse events without first grouping similar types of events into a smaller number of standardized event categories. In the tables and tabulations that follow, standard World Health Organization (WHO) terminology has been used to classify reported adverse events.
The stated frequencies of adverse reactions represent the proportion of individuals who experienced, at least once, a treatmentemergent adverse event of the type listed. An event was considered treatment-emergent if it occurred for the first time or worsened while receiving therapy following baseline evaluation.
Adverse Events Associated with Discontinuation of Treatment
Major Depressive Disorder
Pediatrics (6 to 17 years)
Adverse events were associated with discontinuation of 3.5% of 286 patients receiving escitalopram and 1% of 290 patients receiving placebo. The most common adverse event (incidence at least 1% for escitalopram and greater than placebo) associated with discontinuation was insomnia (1% escitalopram, 0% placebo).
Adults
Among the 715 depressed patients who received escitalopram in placebo-controlled trials, 6% discontinued treatment due to an adverse event, as compared to 2% of 592 patients receiving placebo. In two fixed-dose studies, the rate of discontinuation for adverse events in patients receiving 10 mg/day escitalopram was not significantly different from the rate of discontinuation for adverse events in patients receiving placebo. The rate of discontinuation for adverse events in patients assigned to a fixed dose of 20 mg/day escitalopram was 10%, which was significantly different from the rate of discontinuation for adverse events in patients receiving 10 mg/day escitalopram (4%) and placebo (3%). Adverse events that were associated with the discontinuation of at least 1% of patients treated with escitalopram, and for which the rate was at least twice that of placebo, were nausea (2%) and ejaculation disorder (2% of male patients).
Generalized Anxiety Disorder
Adults
Among the 429 GAD patients who received escitalopram 10 to 20 mg/day in placebo-controlled trials, 8% discontinued treatment due to an adverse event, as compared to 4% of 427 patients receiving placebo. Adverse events that were associated with the discontinuation of at least 1% of patients treated with escitalopram, and for which the rate was at least twice the placebo rate, were nausea (2%), insomnia (1%), and fatigue (1%).
Incidence of Adverse Reactions in Placebo-Controlled Clinical Trials
Major Depressive Disorder
Pediatrics (6 to 17 years)
The overall profile of adverse reactions in pediatric patients was generally similar to that seen in adult studies, as shown in Table 2. However, the following adverse reactions (excluding those which appear in Table 2 and those for which the coded terms were uninformative or misleading) were reported at an incidence of at least 2% for escitalopram and greater than placebo: back pain, urinary tract infection, vomiting, and nasal congestion.
Adults
The most commonly observed adverse reactions in escitalopram patients (incidence of approximately 5% or greater and approximately twice the incidence in placebo patients) were insomnia, ejaculation disorder (primarily ejaculatory delay), nausea, sweating increased, fatigue, and somnolence.
Table 2 enumerates the incidence, rounded to the nearest percent, of treatment-emergent adverse events that occurred among 715 depressed patients who received escitalopram at doses ranging from 10 to 20 mg/day in placebo-controlled trials. Events included are those occurring in 2% or more of patients treated with escitalopram and for which the incidence in patients treated with escitalopram was greater than the incidence in placebo-treated patients.
1Primarily ejaculatory delay. | ||
2Denominator used was for males only (N=225 escitalopram; N=188 placebo). | ||
3Denominator used was for females only (N=490 escitalopram; N=404 placebo). | ||
| TABLE 2 | ||
| Treatment-Emergent Adverse Reactions observed with a frequency of ≥ 2% and greater than placebo for Major Depressive Disorder | ||
| Adverse Reaction | Escitalopram | Placebo |
| (N=715) % | (N = 592) % | |
| Autonomic Nervous System Disorders | ||
| Dry Mouth | 6% | 5% |
| Sweating Increased | 5% | 2% |
| Central & Peripheral Nervous System Disorders | ||
| Dizziness | 5% | 3% |
| Gastrointestinal Disorders | ||
| Nausea | 15% | 7% |
| Diarrhea | 8% | 5% |
| Constipation | 3% | 1% |
| Indigestion | 3% | 1% |
| Abdominal Pain | 2% | 1% |
| General | ||
| Influenza-like Symptoms | 5% | 4% |
| Fatigue | 5% | 2% |
| Psychiatric Disorders | ||
| Insomnia | 9% | 4% |
| Somnolence | 6% | 2% |
| Appetite Decreased | 3% | 1% |
| Libido Decreased | 3% | 1% |
| Respiratory System Disorders | ||
| Rhinitis | 5% | 4% |
| Sinusitis | 3% | 2% |
| Urogenital | ||
| Ejaculation Disorder1,2 | 9% | <1% |
| Impotence2 | 3% | <1% |
| Anorgasmia3 | 2% | <1% |
Generalized Anxiety Disorder
Adults
The most commonly observed adverse reactions in escitalopram patients (incidence of approximately 5% or greater and approximately twice the incidence in placebo patients) were nausea, ejaculation disorder (primarily ejaculatory delay), insomnia, fatigue, decreased libido, and anorgasmia.
Table 3 enumerates the incidence, rounded to the nearest percent of treatment-emergent adverse events that occurred among 429 GAD patients who received escitalopram 10 to 20 mg/day in placebo-controlled trials. Events included are those occurring in 2% or more of patients treated with escitalopram and for which the incidence in patients treated with escitalopram was greater than the incidence in placebo-treated patients.
1Primarily ejaculatory delay. | ||
2Denominator used was for males only (N=182 escitalopram; N=195 placebo). | ||
3Denominator used was for females only (N=247 escitalopram; N=232 placebo). | ||
| TABLE 3 | ||
| Treatment-Emergent Adverse Reactions observed with a frequency of ≥ 2% and greater than placebo for Generalized Anxiety Disorder | ||
| Adverse Reactions | Escitalopram | Placebo |
| (N=429) % | (N=427) % | |
| Autonomic Nervous System Disorders | ||
| Dry Mouth | 9% | 5% |
| Sweating Increased | 4% | 1% |
| Central & Peripheral Nervous System Disorders | ||
| Headache | 24% | 17% |
| Paresthesia | 2% | 1% |
| Gastrointestinal Disorders | ||
| Nausea | 18% | 8% |
| Diarrhea | 8% | 6% |
| Constipation | 5% | 4% |
| Indigestion | 3% | 2% |
| Vomiting | 3% | 1% |
| Abdominal Pain | 2% | 1% |
| Flatulence | 2% | 1% |
| Toothache | 2% | 0% |
| General | ||
| Fatigue | 8% | 2% |
| Influenza-like Symptoms | 5% | 4% |
| Musculoskeletal System Disorder | ||
| Neck/Shoulder Pain | 3% | 1% |
| Psychiatric Disorders | ||
| Somnolence | 13% | 7% |
| Insomnia | 12% | 6% |
| Libido Decreased | 7% | 2% |
| Dreaming Abnormal | 3% | 2% |
| Appetite Decreased | 3% | 1% |
| Lethargy | 3% | 1% |
| Respiratory System Disorders | ||
| Yawning | 2% | 1% |
| Urogenital | ||
| Ejaculation Disorder1,2 | 14% | 2% |
| Anorgasmia3 | 6% | <1% |
| Menstrual Disorder | 2% | 1% |
Dose Dependency of Adverse Reactions
The potential dose dependency of common adverse reactions (defined as an incidence rate of ≥5% in either the 10 mg or 20 mg escitalopram groups) was examined on the basis of the combined incidence of adverse reactions in two fixed-dose trials. The overall incidence rates of adverse events in 10 mg escitalopram-treated patients (66%) was similar to that of the placebo-treated patients (61%), while the incidence rate in 20 mg/day escitalopram-treated patients was greater (86%). Table 4 shows common adverse reactions that occurred in the 20 mg/day escitalopram group with an incidence that was approximately twice that of the 10 mg/day escitalopram group and approximately twice that of the placebo group.
| TABLE 4 | |||
| Incidence of Common Adverse Reactions in Patients with Major Depressive Disorder | |||
| Adverse Reaction | Placebo | 10 mg/day | 20 mg/day |
| (N=311) | Escitalopram | Escitalopram | |
| (N=310) | (N=125) | ||
| Insomnia | 4% | 7% | 14% |
| Diarrhea | 5% | 6% | 14% |
| Dry Mouth | 3% | 4% | 9% |
| Somnolence | 1% | 4% | 9% |
| Dizziness | 2% | 4% | 7% |
| Sweating Increased | <1% | 3% | 8% |
| Constipation | 1% | 3% | 6% |
| Fatigue | 2% | 2% | 6% |
| Indigestion | 1% | 2% | 6% |
Male and Female Sexual Dysfunction with SSRIs
Although changes in sexual desire, sexual performance, and sexual satisfaction often occur as manifestations of a psychiatric disorder, they may also be a consequence of pharmacologic treatment. In particular, some evidence suggests that SSRIs can cause such untoward sexual experiences.
Reliable estimates of the incidence and severity of untoward experiences involving sexual desire, performance, and satisfaction are difficult to obtain, however, in part because patients and physicians may be reluctant to discuss them. Accordingly, estimates of the incidence of untoward sexual experience and performance cited in product labeling are likely to underestimate their actual incidence.
| TABLE 5 | ||
| Incidence of Sexual Side Effects in Placebo-Controlled Clinical Trials | ||
| Adverse Event | Escitalopram | Placebo |
| In Males Only | ||
| (N=407) | (N=383) | |
| Ejaculation Disorder (primarily ejaculatory delay) | 12% | 1% |
| Libido Decreased | 6% | 2% |
| Impotence | 2% | <1% |
| In Females Only | ||
| (N=737) | (N=636) | |
| Libido Decreased | 3% | 1% |
| Anorgasmia | 3% | <1% |
There are no adequately designed studies examining sexual dysfunction with escitalopram treatment.
Priapism has been reported with all SSRIs.
While it is difficult to know the precise risk of sexual dysfunction associated with the use of SSRIs, physicians should routinely inquire about such possible side effects.
Vital Sign Changes
Escitalopram and placebo groups were compared with respect to (1) mean change from baseline in vital signs (pulse, systolic blood pressure, and diastolic blood pressure) and (2) the incidence of patients meeting criteria for potentially clinically significant changes from baseline in these variables. These analyses did not reveal any clinically important changes in vital signs associated with escitalopram treatment. In addition, a comparison of supine and standing vital sign measures in subjects receiving escitalopram indicated that escitalopram treatment is not associated with orthostatic changes.
Weight Changes
Patients treated with escitalopram in controlled trials did not differ from placebo-treated patients with regard to clinically important change in body weight.
Laboratory Changes
Escitalopram and placebo groups were compared with respect to (1) mean change from baseline in various serum chemistry, hematology, and urinalysis variables, and (2) the incidence of patients meeting criteria for potentially clinically significant changes from baseline in these variables. These analyses revealed no clinically important changes in laboratory test parameters associated with escitalopram treatment.
ECG Changes
Electrocardiograms from escitalopram (N=625) and placebo (N=527) groups were compared with respect to outliers defined as subjects with QTc changes over 60 msec from baseline or absolute values over 500 msec post-dose, and subjects with heart rate increases to over 100 bpm or decreases to less than 50 bpm with a 25% change from baseline (tachycardic or bradycardic outliers, respectively). None of the patients in the escitalopram group had a QTcF interval >500 msec or a prolongation >60 msec compared to 0.2% of patients in the placebo group. The incidence of tachycardic outliers was 0.2% in the escitalopram and the placebo group. The incidence of bradycardic outliers was 0.5% in the escitalopram group and 0.2% in the placebo group.
QTcF interval was evaluated in a randomized, placebo and active (moxifloxacin 400 mg) controlled cross-over, escalating multiple dose study in 113 healthy subjects. The maximum mean (95% upper confidence bound) difference from placebo arm were 4.5 (6.4) and 10.7 (12.7) msec for 10 mg and supratherapeutic 30 mg escitalopram given once daily, respectively. Based on the established exposure-response relationship, the predicted QTcF change from placebo arm (95% confidence interval) under the Cmax for the dose of 20 mg is 6.6 (7.9) msec. Escitalopram 30 mg given once daily resulted in mean Cmax of 1.7-fold higher than the mean Cmax for the maximum recommended therapeutic dose at steady state (20 mg). The exposure under supratherapeutic 30 mg dose is similar to the steady state concentrations expected in CYP2C19 poor metabolizers following a therapeutic dose of 20 mg.
Other Reactions Observed During the Premarketing Evaluation of Escitalopram
Following is a list of treatment-emergent adverse events, as defined in the introduction to the ADVERSE REACTIONS section, reported by the 1,428 patients treated with escitalopram for periods of up to one year in double-blind or open-label clinical trials during its premarketing evaluation. The listing does not include those events already listed in Tables 2 & 3, those events for which a drug cause was remote and at a rate less than 1% or lower than placebo, those events which were so general as to be uninformative, and those events reported only once which did not have a substantial probability of being acutely life threatening. Events are categorized by body system. Events of major clinical importance are described in the Warnings and Precautions section (5).
Cardiovascular - hypertension, palpitation.
Central and Peripheral Nervous System Disorders - light-headed feeling, migraine.
Gastrointestinal Disorders - abdominal cramp, heartburn, gastroenteritis.
General - allergy, chest pain, fever, hot flushes, pain in limb.
Metabolic and Nutritional Disorders - increased weight.
Musculoskeletal System Disorders - arthralgia, myalgia jaw stiffness.
Psychiatric Disorders - appetite increased, concentration impaired, irritability.
Reproductive Disorders/Female - menstrual cramps, menstrual disorder.
Respiratory System Disorders - bronchitis, coughing, nasal congestion, sinus congestion, sinus headache.
Skin and Appendages Disorders - rash.
Special Senses - vision blurred, tinnitus.
Urinary System Disorders - urinary frequency, urinary tract infection.
6.2 Post-Marketing Experience
Adverse Reactions Reported Subsequent to the Marketing of Escitalopram
The following adverse reactions have been identified during post-approval use of escitalopram tablets. Because these reactions are reported voluntarily from a population of uncertain size, it is not always possible to reliably estimate their frequency or establish a causal relationship to drug exposure.
Blood and Lymphatic System Disorders: anemia, agranulocytis, aplastic anemia, hemolytic anemia, idiopathic thrombocytopenia purpura, leukopenia, thrombocytopenia.
Cardiac Disorders: atrial fibrillation, bradycardia, cardiac failure, myocardial infarction, tachycardia, torsade de pointes, ventricular arrhythmia, ventricular tachycardia.
Ear and labyrinth disorders: vertigo
Endocrine Disorders: diabetes mellitus, hyperprolactinemia, SIADH.
Eye Disorders: angle closure glaucoma, diplopia, mydriasis, visual disturbance.
Gastrointestinal Disorder: dysphagia, gastrointestinal hemorrhage, gastroesophageal reflux, pancreatitis, rectal hemorrhage.
General Disorders and Administration Site Conditions: abnormal gait, asthenia, edema, fall, feeling abnormal, malaise.
Hepatobiliary Disorders: fulminant hepatitis, hepatic failure, hepatic necrosis, hepatitis.
Immune System Disorders: allergic reaction, anaphylaxis.
Investigations: bilirubin increased, decreased weight, electrocardiogram QT prolongation, hepatic enzymes increased, hypercholesterolemia, INR increased, prothrombin decreased.
Metabolism and Nutrition Disorders: hyperglycemia, hypoglycemia, hypokalemia, hyponatremia.
Musculoskeletal and Connective Tissue Disorders: muscle cramp, muscle stiffness, muscle weakness, rhabdomyolysis.
Nervous System Disorders: akathisia, amnesia, ataxia, choreoathetosis, cerebrovascular accident, dysarthria, dyskinesia, dystonia, extrapyramidal disorders, grand mal seizures (or convulsions), hypoaesthesia, myoclonus, nystagmus, Parkinsonism, restless legs, seizures, syncope, tardive dyskinesia, tremor.
Pregnancy, Puerperium and Perinatal Conditions: spontaneous abortion.
Psychiatric Disorders: acute psychosis, aggression, agitation, anger, anxiety, apathy, completed suicide, confusion, depersonalization, depression aggravated, delirium, delusion, disorientation, feeling unreal, hallucinations (visual and auditory), mood swings, nervousness, nightmare, panic reaction, paranoia, restlessness, self-harm or thoughts of self-harm, suicide attempt, suicidal ideation, suicidal tendency.
Renal and Urinary Disorders: acute renal failure, dysuria, urinary retention.
Reproductive System and Breast Disorders: menorrhagia, priapism.
Respiratory, Thoracic and Mediastinal Disorders: dyspnea, epistaxis, pulmonary embolism, pulmonary hypertension of the newborn.
Skin and Subcutaneous Tissue Disorders: alopecia, angioedema, dermatitis, ecchymosis, erythema multiforme, photosensitivity reaction, Stevens Johnson Syndrome, toxic epidermal necrolysis, urticaria.
Vascular Disorders: deep vein thrombosis, flushing, hypertensive crisis, hypotension, orthostatic hypotension, phlebitis, thrombosis.
7.1 Monoamine Oxidase Inhibitors (Maois)
[See Dosage and Administration (2.5 and 2.6), Contraindications (4.1) and Warnings and Precautions (5.2)].
7.2 Serotonergic Drugs
[See Dosage and Administration (2.5 and 2.6), Contraindications (4.1) and Warnings and Precautions (5.2)].
7.3 Triptans
There have been rare postmarketing reports of serotonin syndrome with use of an SSRI and a triptan. If concomitant treatment of escitalopram with a triptan is clinically warranted, careful observation of the patient is advised, particularly during treatment initiation and dose increases [see Warnings and Precautions (5.2)].
7.4 Cns Drugs
Given the primary CNS effects of escitalopram, caution should be used when it is taken in combination with other centrally acting drugs.
7.5 Alcohol
Although escitalopram did not potentiate the cognitive and motor effects of alcohol in a clinical trial, as with other psychotropic medications, the use of alcohol by patients taking escitalopram is not recommended.
7.6 Drugs That Interfere With Hemostasis (Nsaids, Aspirin, Warfarin, Etc.)
Serotonin release by platelets plays an important role in hemostasis. Epidemiological studies of the case-control and cohort design that have demonstrated an association between use of psychotropic drugs that interfere with serotonin reuptake and the occurrence of upper gastrointestinal bleeding have also shown that concurrent use of an NSAID or aspirin may potentiate the risk of bleeding. Altered anticoagulant effects, including increased bleeding, have been reported when SSRIs and SNRIs are coadministered with warfarin. Patients receiving warfarin therapy should be carefully monitored when escitalopram is initiated or discontinued.
7.7 Cimetidine
In subjects who had received 21 days of 40 mg/day racemic citalopram, combined administration of 400 mg twice a day cimetidine for 8 days resulted in an increase in citalopram AUC and Cmax of 43% and 39%, respectively. The clinical significance of these findings is unknown.
7.8 Digoxin
In subjects who had received 21 days of 40 mg/day racemic citalopram, combined administration of citalopram and digoxin (single dose of 1 mg) did not significantly affect the pharmacokinetics of either citalopram or digoxin.
7.9 Lithium
Coadministration of racemic citalopram (40 mg/day for 10 days) and lithium (30 mmol/day for 5 days) had no significant effect on the pharmacokinetics of citalopram or lithium. Nevertheless, plasma lithium levels should be monitored with appropriate adjustment to the lithium dose in accordance with standard clinical practice. Because lithium may enhance the serotonergic effects of escitalopram, caution should be exercised when escitalopram and lithium are coadministered.
7.10 Pimozide And Celexa
In a controlled study, a single dose of pimozide 2 mg co-administered with racemic citalopram 40 mg given once daily for 11 days was associated with a mean increase in QTc values of approximately 10 msec compared to pimozide given alone. Racemic citalopram did not alter the mean AUC or Cmax of pimozide. The mechanism of this pharmacodynamic interaction is not known.
7.11 Sumatriptan
There have been rare postmarketing reports describing patients with weakness, hyperreflexia, and incoordination following the use of an SSRI and sumatriptan. If concomitant treatment with sumatriptan and an SSRI (e.g., fluoxetine, fluvoxamine, paroxetine, sertraline, citalopram, escitalopram) is clinically warranted, appropriate observation of the patient is advised.
7.12 Theophylline
Combined administration of racemic citalopram (40 mg/day for 21 days) and the CYP1A2 substrate theophylline (single dose of 300 mg) did not affect the pharmacokinetics of theophylline. The effect of theophylline on the pharmacokinetics of citalopram was not evaluated.
7.13 Warfarin
Administration of 40 mg/day racemic citalopram for 21 days did not affect the pharmacokinetics of warfarin, a CYP3A4 substrate. Prothrombin time was increased by 5%, the clinical significance of which is unknown.
7.14 Carbamazepine
Combined administration of racemic citalopram (40 mg/day for 14 days) and carbamazepine (titrated to 400 mg/day for 35 days) did not significantly affect the pharmacokinetics of carbamazepine, a CYP3A4 substrate. Although trough citalopram plasma levels were unaffected, given the enzyme-inducing properties of carbamazepine, the possibility that carbamazepine might increase the clearance of escitalopram should be considered if the two drugs are coadministered.
7.15 Triazolam
Combined administration of racemic citalopram (titrated to 40 mg/day for 28 days) and the CYP3A4 substrate triazolam (single dose of 0.25 mg) did not significantly affect the pharmacokinetics of either citalopram or triazolam.
7.16 Ketoconazole
Combined administration of racemic citalopram (40 mg) and ketoconazole (200 mg), a potent CYP3A4 inhibitor, decreased the Cmax and AUC of ketoconazole by 21% and 10%, respectively, and did not significantly affect the pharmacokinetics of citalopram.
7.17 Ritonavir
Combined administration of a single dose of ritonavir (600 mg), both a CYP3A4 substrate and a potent inhibitor of CYP3A4, and escitalopram (20 mg) did not affect the pharmacokinetics of either ritonavir or escitalopram.
7.18 Cyp3a4 And -2C19 Inhibitors
In vitro studies indicated that CYP3A4 and -2C19 are the primary enzymes involved in the metabolism of escitalopram. However, coadministration of escitalopram (20 mg) and ritonavir (600 mg), a potent inhibitor of CYP3A4, did not significantly affect the pharmacokinetics of escitalopram. Because escitalopram is metabolized by multiple enzyme systems, inhibition of a single enzyme may not appreciably decrease escitalopram clearance.
7.19 Drugs Metabolized By Cytochrome P4502d6
In vitro studies did not reveal an inhibitory effect of escitalopram on CYP2D6. In addition, steady state levels of racemic citalopram were not significantly different in poor metabolizers and extensive CYP2D6 metabolizers after multiple-dose administration of citalopram, suggesting that coadministration, with escitalopram, of a drug that inhibits CYP2D6, is unlikely to have clinically significant effects on escitalopram metabolism. However, there are limited in vivo data suggesting a modest CYP2D6 inhibitory effect for escitalopram, i.e., coadministration of escitalopram (20 mg/day for 21 days) with the tricyclic antidepressant desipramine (single dose of 50 mg), a substrate for CYP2D6, resulted in a 40% increase in Cmax and a 100% increase in AUC of desipramine. The clinical significance of this finding is unknown. Nevertheless, caution is indicated in the coadministration of escitalopram and drugs metabolized by CYP2D6.
7.20 Metoprolol
Administration of 20 mg/day escitalopram for 21 days in healthy volunteers resulted in a 50% increase in Cmax and 82% increase in AUC of the beta-adrenergic blocker metoprolol (given in a single dose of 100 mg). Increased metoprolol plasma levels have been associated with decreased cardioselectivity. Coadministration of escitalopram and metoprolol had no clinically significant effects on blood pressure or heart rate.
7.21 Electroconvulsive Therapy (Ect)
There are no clinical studies of the combined use of ECT and escitalopram.
8.1 Pregnancy
Risk Summary
Available data from published epidemiologic studies and postmarketing reports have not established an increased risk of major birth defects or miscarriage. There are risks of persistent pulmonary hypertension of the newborn (PPHN) (see Data) and poor neonatal adaptation (see Clinical Considerations) with exposure to selective serotonin reuptake inhibitors (SSRIs), including escitalopram tablets, during pregnancy. There are risks associated with untreated depression in pregnancy (see Clinical Considerations).
In animal reproduction studies, both escitalopram and racemic citalopram have been shown to have adverse effects on embryo/fetal and postnatal development, including fetal structural abnormalities, when administered at doses greater than human therapeutic doses (see Data).
The estimated background risk of major birth defects and miscarriage for the indicated population is unknown. All pregnancies have a background risk of birth defect, loss, or other adverse outcomes. In the U.S. general population, the estimated background risk of major birth defects and miscarriage in the clinically recognized pregnancies is 2 to 4% and 15 to 20%, respectively.
Clinical Considerations
Disease-associated maternal risk and/or embryo/fetal risk
Women who discontinue antidepressants are more likely to experience a relapse of major depression than women who continue antidepressants. This finding is from a prospective longitudinal study of 201 pregnant women with a history of major depression, who were euthymic and taking antidepressants at the beginning of pregnancy. Consider the risk of untreated depression when discontinuing or changing treatment with antidepressant medication during pregnancy and postpartum.
Fetal/Neonatal adverse reactions
Neonates exposed to SSRIs or SNRIs, including escitalopram tablets, late in third trimester have developed complications requiring prolonged hospitalization, respiratory support, and tube feeding. Such complications can arise immediately upon delivery. Reported clinical findings have included respiratory distress, cyanosis, apnea, seizures, temperature instability, feeding difficulty, vomiting, hypoglycemia, hypotonia, hypertonia, hyperreflexia, tremor, jitteriness, irritability, and constant crying. These features are consistent with either a direct toxic effect of SSRIs and SNRIs or, possibly, a drug discontinuation syndrome. It should be noted that, in some cases, the clinical picture is consistent with serotonin syndrome [see Warnings and Precautions (5.2)].
Data
Human Data
Exposure to SSRIs, particularly later in pregnancy, may increase the risk for PPHN. PPHN occurs in 1-2 per 1000 live births in the general populations and is associated with substantial neonatal morbidity and mortality.
Animal Data
In a rat embryo/fetal development study, oral administration of escitalopram (56, 112, or 150 mg/kg/day) to pregnant animals during the period of organogenesis resulted in decreased fetal body weight and associated delays in ossification at the two higher doses [approximately ≥ 55 times the maximum recommended human dose (MRHD) of 20 mg/day on a mg/m2 basis]. Maternal toxicity (clinical signs and decreased body weight gain and food consumption), mild at 56 mg/kg/day, was present at all dose levels. The developmental no-effect dose of 56 mg/kg/day is approximately 27 times the MRHD of 20 mg on a mg/m2basis. No malformations were observed at any of the doses tested (as high as 73 times the MRHD on a mg/m2 basis).
When female rats were treated with escitalopram (6, 12, 24, or 48 mg/kg/day) during pregnancy and through weaning, slightly increased offspring mortality and growth retardation were noted at 48 mg/kg/day which is approximately 23 times the MRHD of 20 mg on a mg/m2 basis. Slight maternal toxicity (clinical signs and decreased body weight gain and food consumption) was seen at this dose. Slightly increased offspring mortality was also seen at 24 mg/kg/day. The no-effect dose was 12 mg/kg/day which is approximately 6 times the MRHD of 20 mg on a mg/m2 basis.
In two rat embryo/fetal development studies, oral administration of racemic citalopram (32, 56, or 112 mg/kg/day) to pregnant animals during the period of organogenesis resulted in decreased embryo/fetal growth and survival and an increased incidence of fetal abnormalities (including cardiovascular and skeletal defects) at the high dose, which is approximately 18 times the MRHD of 60 mg/day on a mg/ m2 basis. This dose was also associated with maternal toxicity (clinical signs, decreased body weight gain). The developmental no-effect dose was 56 mg/kg/day is approximately 9 times the MRHD on a mg/m2 basis. In a rabbit study, no adverse effects on embryo/fetal development were observed at doses of racemic citalopram of up to 16 mg/kg/day, or approximately 5 times the MRHD on a mg/m2 basis. Thus, developmental effects of racemic citalopram were observed at a maternally toxic dose in the rat and were not observed in the rabbit.
When female rats were treated with racemic citalopram (4.8, 12.8, or 32 mg/kg/day) from late gestation through weaning, increased offspring mortality during the first 4 days after birth and persistent offspring growth retardation were observed at the highest dose, which is approximately 5 times the MRHD of 60 mg on a mg/m2 basis. The no-effect dose was 12.8 mg/kg/day is approximately 2 times the MRHD on a mg/m2 basis. Similar effects on offspring mortality and growth were seen when dams were treated throughout gestation and early lactation at doses ≥ 24 mg/kg/day, approximately 4 times the MRHD on a mg/m2basis. A no-effect dose was not determined in that study.
8.2 Lactation
Risk Summary
Data from the published literature report the presence of escitalopram and desmethylescitalopram in human milk (see Data). There are reports of excessive sedation, restlessness, agitation, poor feeding and poor weight gain in infants exposed to escitalopram, through breast milk (see Clinical Considerations),. There are no data on the effects of escitalopram or its metabolites on milk production. The developmental and health benefits of breastfeeding should be considered along with the mother's clinical need for escitalopram tablets and any potential adverse effects on the breastfed child from escitalopram tablets or from the underlying maternal condition.
Clinical Considerations
Infants exposed to escitalopram tablets should be monitored for excess sedation, restlessness, agitation, poor feeding and poor weight gain.
Data
A study of 8 nursing mothers on escitalopram with daily doses of 10-20 mg/day showed that exclusively breast-fed infants receive approximately 3.9% of the maternal weight-adjusted dose of escitalopram and 1.7% of the maternal weight-adjusted dose of desmethylcitalopram.
8.4 Pediatric Use
The safety and effectiveness of escitalopram have been established in adolescents (12 to 17 years of age) for the treatment of major depressive disorder [see Clinical Studies (14.1)]. Although maintenance efficacy in adolescent patients with major depressive disorder has not been systematically evaluated, maintenance efficacy can be extrapolated from adult data along with comparisons of escitalopram pharmacokinetic parameters in adults and adolescent patients.
The safety and effectiveness of escitalopram tablets have not been established in pediatric (younger than 12 years of age) patients with major depressive disorder. In a 24-week, open-label safety study in 118 children (aged 7 to 11 years) who had major depressive disorder, the safety findings were consistent with the known safety and tolerability profile for escitalopram tablets.
Safety and effectiveness of escitalopram has not been established in pediatric patients less than 18 years of age with Generalized Anxiety Disorder.
Decreased appetite and weight loss have been observed in association with the use of SSRIs. Consequently, regular monitoring of weight and growth should be performed in children and adolescents treated with an SSRI such as escitalopram.
8.5 Geriatric Use
Approximately 6% of the 1144 patients receiving escitalopram in controlled trials of escitalopram in major depressive disorder and GAD were 60 years of age or older; elderly patients in these trials received daily doses of escitalopram between 10 and 20 mg. The number of elderly patients in these trials was insufficient to adequately assess for possible differential efficacy and safety measures on the basis of age. Nevertheless, greater sensitivity of some elderly individuals to effects of escitalopram cannot be ruled out.
SSRIs and SNRIs, including escitalopram, have been associated with cases of clinically significant hyponatremia in elderly patients, who may be at greater risk for this adverse event [see Hyponatremia (5.6)].
In two pharmacokinetic studies, escitalopram half-life was increased by approximately 50% in elderly subjects as compared to young subjects and Cmax was unchanged [see Clinical Pharmacology (12.3)]. 10 mg/day is the recommended dose for elderly patients [see Dosage and Administration (2.3)].
Of 4,422 patients in clinical studies of racemic citalopram, 1,357 were 60 and over, 1,034 were 65 and over, and 457 were 75 and over. No overall differences in safety or effectiveness were observed between these subjects and younger subjects, and other reported clinical experience has not identified differences in responses between the elderly and younger patients, but again, greater sensitivity of some elderly individuals cannot be ruled out.
9.2 Abuse And Dependence
Physical and Psychological Dependence
Animal studies suggest that the abuse liability of racemic citalopram is low. Escitalopram has not been systematically studied in humans for its potential for abuse, tolerance, or physical dependence. The premarketing clinical experience with escitalopram did not reveal any drug-seeking behavior. However, these observations were not systematic and it is not possible to predict on the basis of this limited experience the extent to which a CNS-active drug will be misused, diverted, and/or abused once marketed. Consequently, physicians should carefully evaluate escitalopram patients for history of drug abuse and follow such patients closely, observing them for signs of misuse or abuse (e.g., development of tolerance, incrementations of dose, drug-seeking behavior).
10 Overdosage
The following have been reported with escitalopram tablet overdosage:
- Seizures, which may be delayed, and altered mental status including coma.
- Cardiovascular toxicity, which may be delayed, including QRS and QTc interval prolongation, wide complex tachyarrhythmias, and torsade de pointes. Hypertension most commonly seen, but rarely can see hypotension alone or with co-ingestants including alcohol.
- Serotonin syndrome (patients with a multiple drug overdosage with other proserotonergic drugs may have a higher risk).
Prolonged cardiac monitoring is recommended in escitalopram overdosage ingestions due to the arrhythmia risk.
Gastrointestinal decontamination with activated charcoal should be considered in patients who present early after a escitalopram overdose.
Consider contacting a poison center (1-800-221-2222) or a medical toxicologist for overdosage management recommendations.
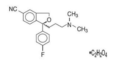
11 Description
Escitalopram Tablets, USP are an orally administered selective serotonin reuptake inhibitor (SSRI). Escitalopram is the pure S-enantiomer (single isomer) of the racemic bicyclic phthalane derivative citalopram. Escitalopram oxalate is designated S-(+)-1-[3-(dimethyl-amino)propyl]-1-(p-fluorophenyl)-5-phthalancarbonitrile oxalate with the following structural formula:
The molecular formula is C20H21FN2O • C2H2O4 and the molecular weight is 414.40.
Escitalopram oxalate, USP occurs as a fine, white to off-white powder and is freely soluble in methanol and dimethyl sulfoxide (DMSO), soluble in isotonic saline solution, sparingly soluble in water and ethanol, slightly soluble in ethyl acetate, and insoluble in heptane.
Escitalopram oxalate is available as tablets.
Escitalopram Tablets, USP are film-coated, round tablets containing escitalopram oxalate in strengths equivalent to 5 mg, 10 mg, and 20 mg escitalopram base. The 10 and 20 mg tablets are scored. The tablets also contain the following inactive ingredients: butylated hydroxyanisole, croscarmellose sodium, lactose monohydrate, magnesium stearate and microcrystalline cellulose. The film coating contains hydroxypropyl cellulose, hypromellose, polyethylene glycol, and titanium dioxide.
12.1 Mechanism Of Action
The mechanism of antidepressant action of escitalopram, the S-enantiomer of racemic citalopram, is presumed to be linked to potentiation of serotonergic activity in the central nervous system (CNS) resulting from its inhibition of CNS neuronal reuptake of serotonin (5-HT).
12.2 Pharmacodynamics
In vitro and in vivo studies in animals suggest that escitalopram is a highly selective serotonin reuptake inhibitor (SSRI) with minimal effects on norepinephrine and dopamine neuronal reuptake. Escitalopram is at least 100-fold more potent than the R-enantiomer with respect to inhibition of 5-HT reuptake and inhibition of 5-HT neuronal firing rate. Tolerance to a model of antidepressant effect in rats was not induced by long-term (up to 5 weeks) treatment with escitalopram. Escitalopram has no or very low affinity for serotonergic (5-HT1-7) or other receptors including alpha- and beta-adrenergic, dopamine (D1-5), histamine (H1-3), muscarinic (M1-5), and benzodiazepine receptors. Escitalopram also does not bind to, or has low affinity for, various ion channels including Na+, K+, Cl-, and Ca++ channels. Antagonism of muscarinic, histaminergic, and adrenergic receptors has been hypothesized to be associated with various anticholinergic, sedative, and cardiovascular side effects of other psychotropic drugs.
12.3 Pharmacokinetics
The single- and multiple-dose pharmacokinetics of escitalopram are linear and dose-proportional in a dose range of 10 to 30 mg/day. Biotransformation of escitalopram is mainly hepatic, with a mean terminal half-life of about 27 to 32 hours. With once-daily dosing, steady state plasma concentrations are achieved within approximately one week. At steady state, the extent of accumulation of escitalopram in plasma in young healthy subjects was 2.2 to 2.5 times the plasma concentrations observed after a single dose. The tablet and the oral solution dosage forms of escitalopram oxalate are bioequivalent.
Absorption and Distribution
Following a single oral dose (20 mg tablet or solution) of escitalopram, peak blood levels occur at about 5 hours. Absorption of escitalopram is not affected by food.
The absolute bioavailability of citalopram is about 80% relative to an intravenous dose, and the volume of distribution of citalopram is about 12 L/kg. Data specific on escitalopram are unavailable.
The binding of escitalopram to human plasma proteins is approximately 56%.
Metabolism and Elimination
Following oral administrations of escitalopram, the fraction of drug recovered in the urine as escitalopram and S-demethylcitalopram (S-DCT) is about 8% and 10%, respectively. The oral clearance of escitalopram is 600 mL/min, with approximately 7% of that due to renal clearance.
Escitalopram is metabolized to S-DCT and S-didemethylcitalopram (S-DDCT). In humans, unchanged escitalopram is the predominant compound in plasma. At steady state, the concentration of the escitalopram metabolite S-DCT in plasma is approximately one-third that of escitalopram. The level of S-DDCT was not detectable in most subjects. In vitro studies show that escitalopram is at least 7 and 27 times more potent than S-DCT and S-DDCT, respectively, in the inhibition of serotonin reuptake, suggesting that the metabolites of escitalopram do not contribute significantly to the antidepressant actions of escitalopram. S-DCT and S-DDCT also have no or very low affinity for serotonergic (5-HT1-7) or other receptors including alpha- and beta-adrenergic, dopamine (D1-5), histamine (H1-3), muscarinic (M1-5), and benzodiazepine receptors. S-DCT and S-DDCT also do not bind to various ion channels including Na+, K+, Cl-, and Ca++ channels.
In vitro studies using human liver microsomes indicated that CYP3A4 and CYP2C19 are the primary isozymes involved in the N-demethylation of escitalopram.
Population Subgroups
Age
Adolescents - In a single dose study of 10 mg escitalopram, AUC of escitalopram decreased by 19%, and Cmax increased by 26% in healthy adolescent subjects (12 to 17 years of age) compared to adults. Following multiple dosing of 40 mg/day citalopram, escitalopram elimination half-life, steady-state Cmax and AUC were similar in patients with MDD (12 to 17 years of age) compared to adult patients. No adjustment of dosage is needed in adolescent patients.
Elderly - Escitalopram pharmacokinetics in subjects ≥ 65 years of age were compared to younger subjects in a single-dose and a multiple-dose study. Escitalopram AUC and half-life were increased by approximately 50% in elderly subjects, and Cmax was unchanged. 10 mg is the recommended dose for elderly patients [see Dosage and Administration (2.3)].
Gender - Based on data from single- and multiple-dose studies measuring escitalopram in elderly, young adults, and adolescents, no dosage adjustment on the basis of gender is needed.
Reduced hepatic function - Citalopram oral clearance was reduced by 37% and half-life was doubled in patients with reduced hepatic function compared to normal subjects. 10 mg is the recommended dose of escitalopram for most hepatically impaired patients [see Dosage and Administration (2.3)].
Reduced renal function - In patients with mild to moderate renal function impairment, oral clearance of citalopram was reduced by 17% compared to normal subjects. No adjustment of dosage for such patients is recommended. No information is available about the pharmacokinetics of escitalopram in patients with severely reduced renal function (creatinine clearance < 20 mL/min).
Drug-Drug Interactions - In vitro enzyme inhibition data did not reveal an inhibitory effect of escitalopram on CYP3A4, -1A2, -2C9, -2C19, and -2E1. Based on in vitro data, escitalopram would be expected to have little inhibitory effect on in vivo metabolism mediated by these cytochromes. While in vivo data to address this question are limited, results from drug interaction studies suggest that escitalopram, at a dose of 20 mg, has no 3A4 inhibitory effect and a modest 2D6 inhibitory effect. See Drug Interactions (7.18) for more detailed information on available drug interaction data.
13.1 Carcinogenesis, Mutagenesis, Impairment Of Fertility
Carcinogenesis
Racemic citalopram was administered in the diet to NMRI/BOM strain mice and COBS WI strain rats for 18 and 24 months, respectively. There was no evidence for carcinogenicity of racemic citalopram in mice receiving up to 240 mg/kg/day. There was an increased incidence of small intestine carcinoma in rats receiving 8 or 24 mg/kg/day racemic citalopram. A no-effect dose for this finding was not established. The relevance of these findings to humans is unknown.
Mutagenesis
Racemic citalopram was mutagenic in the in vitro bacterial reverse mutation assay (Ames test) in 2 of 5 bacterial strains (Salmonella TA98 and TA1537) in the absence of metabolic activation. It was clastogenic in the in vitro Chinese hamster lung cell assay for chromosomal aberrations in the presence and absence of metabolic activation. Racemic citalopram was not mutagenic in the in vitro mammalian forward gene mutation assay (HPRT) in mouse lymphoma cells or in a coupled in vitro/in vivo unscheduled DNA synthesis (UDS) assay in rat liver. It was not clastogenic in the in vitro chromosomal aberration assay in human lymphocytes or in two in vivo mouse micronucleus assays.
Impairment of Fertility
When racemic citalopram was administered orally to 16 male and 24 female rats prior to and throughout mating and gestation at doses of 32, 48, and 72 mg/kg/day, mating was decreased at all doses, and fertility was decreased at doses ≥ 32 mg/kg/day. Gestation duration was increased at 48 mg/kg/day.
13.2 Animal Toxicology And/Or Pharmacology
Retinal Changes in Rats
Pathologic changes (degeneration/atrophy) were observed in the retinas of albino rats in the 2-year carcinogenicity study with racemic citalopram. There was an increase in both incidence and severity of retinal pathology in both male and female rats receiving 80 mg/kg/day. Similar findings were not present in rats receiving 24 mg/kg/day of racemic citalopram for two years, in mice receiving up to 240 mg/kg/day of racemic citalopram for 18 months, or in dogs receiving up to 20 mg/kg/day of racemic citalopram for one year.
Additional studies to investigate the mechanism for this pathology have not been performed, and the potential significance of this effect in humans has not been established.
Cardiovascular Changes in Dogs
In a one-year toxicology study, 5 of 10 beagle dogs receiving oral racemic citalopram doses of 8 mg/kg/day died suddenly between weeks 17 and 31 following initiation of treatment. Sudden deaths were not observed in rats at doses of racemic citalopram up to 120 mg/kg/day, which produced plasma levels of citalopram and its metabolites demethylcitalopram and didemethylcitalopram (DDCT) similar to those observed in dogs at 8 mg/kg/day. A subsequent intravenous dosing study demonstrated that in beagle dogs, racemic DDCT caused QT prolongation, a known risk factor for the observed outcome in dogs.
14.1 Major Depressive Disorder
Adolescents
The efficacy of escitalopram as an acute treatment for major depressive disorder in adolescent patients was established in an 8-week, flexible-dose, placebo-controlled study that compared escitalopram 10 to 20 mg/day to placebo in outpatients 12 to 17 years of age inclusive who met DSM-IV criteria for major depressive disorder. The primary outcome was change from baseline to endpoint in the Children's Depression Rating Scale-Revised (CDRS-R). In this study, escitalopram showed statistically significant greater mean improvement compared to placebo on the CDRS-R.
The efficacy of escitalopram in the acute treatment of major depressive disorder in adolescents was established, in part, on the basis of extrapolation from the 8-week, flexible-dose, placebo-controlled study with racemic citalopram 20 to 40 mg/day. In this outpatient study in children and adolescents 7 to 17 years of age who met DSM-IV criteria for major depressive disorder, citalopram treatment showed statistically significant greater mean improvement from baseline, compared to placebo, on the CDRS-R; the positive results for this trial largely came from the adolescent subgroup.
Two additional flexible-dose, placebo-controlled MDD studies (one escitalopram study in patients ages 7 to 17 and one citalopram study in adolescents) did not demonstrate efficacy.
Although maintenance efficacy in adolescent patients has not been systematically evaluated, maintenance efficacy can be extrapolated from adult data along with comparisons of escitalopram pharmacokinetic parameters in adults and adolescent patients.
Adults
The efficacy of escitalopram as a treatment for major depressive disorder was established in three, 8-week, placebo-controlled studies conducted in outpatients between 18 and 65 years of age who met DSM-IV criteria for major depressive disorder. The primary outcome in all three studies was change from baseline to endpoint in the Montgomery Asberg Depression Rating Scale (MADRS).
A fixed-dose study compared 10 mg/day escitalopram and 20 mg/day escitalopram to placebo and 40 mg/day citalopram. The 10 mg/day and 20 mg/day escitalopram treatment groups showed statistically significant greater mean improvement compared to placebo on the MADRS. The 10 mg and 20 mg escitalopram groups were similar on this outcome measure.
In a second fixed-dose study of 10 mg/day escitalopram and placebo, the 10 mg/day escitalopram treatment group showed statistically significant greater mean improvement compared to placebo on the MADRS.
In a flexible-dose study, comparing escitalopram, titrated between 10 and 20 mg/day, to placebo and citalopram, titrated between 20 and 40 mg/day, the escitalopram treatment group showed statistically significant greater mean improvement compared to placebo on the MADRS.
Analyses of the relationship between treatment outcome and age, gender, and race did not suggest any differential responsiveness on the basis of these patient characteristics.
In a longer-term trial, 274 patients meeting (DSM-IV) criteria for major depressive disorder, who had responded during an initial 8-week, open-label treatment phase with escitalopram 10 or 20 mg/day, were randomized to continuation of escitalopram at their same dose, or to placebo, for up to 36 weeks of observation for relapse. Response during the open-label phase was defined by having a decrease of the MADRS total score to ≤ 12. Relapse during the double-blind phase was defined as an increase of the MADRS total score to ≥ 22, or discontinuation due to insufficient clinical response. Patients receiving continued escitalopram experienced a statistically significant longer time to relapse compared to those receiving placebo.
14.2 Generalized Anxiety Disorder
The efficacy of escitalopram in the acute treatment of Generalized Anxiety Disorder (GAD) was demonstrated in three, 8-week, multicenter, flexible-dose, placebo-controlled studies that compared escitalopram 10 to 20 mg/day to placebo in adult outpatients between 18 and 80 years of age who met DSM-IV criteria for GAD. In all three studies, escitalopram showed statistically significant greater mean improvement compared to placebo on the Hamilton Anxiety Scale (HAM-A).
There were too few patients in differing ethnic and age groups to adequately assess whether or not escitalopram has differential effects in these groups. There was no difference in response to escitalopram between men and women.
16 How Supplied/Storage And Handling
Escitalopram Tablets, USP 5 mg are available as White, round, biconvex, film coated tablets, engraved "77" on one side and plain on the other side.
They are supplied as follows:
Escitalopram Tablets, USP 10 mg are available as White, round, biconvex, film coated tablets, engraved "74" over score on one side and plain on the other side.
They are supplied as follows:
83008-065-90
Escitalopram Tablets, USP 20 mg are available as White, round, biconvex, film coated tablets, engraved "71" over score on one side and plain on the other side.
They are supplied as follows:
Storage and Handling
Store at 20°C to 25°C (68°F to 77°F); excursions permitted from 15°C to 30°C (59°F to 86°F) [see USP Controlled Room Temperature]. Dispense in a tight container [see USP].
17 Patient Counseling Information
Advise the patient to read the FDA-approved patient labeling (Medication Guide).
Suicidal Thoughts and Behaviors
Advise patients, their families and caregivers to look for the emergence of suicidal ideation and behavior, especially during treatment and when the dose is adjusted up or down, and instruct them to report such symptoms to their healthcare provider [see Boxed Warning and Warnings and Precautions (5.1)].
Serotonin Syndrome
Patients should be cautioned about the risk of serotonin syndrome with the concomitant use of escitalopram tablets with other serotonergic drugs including triptans, tricyclic antidepressants, fentanyl, lithium, tramadol, tryptophan, buspirone, amphetamines and St. John's Wort, and with drugs that impair metabolism of serotonin (in particular, MAOIs, both those intended to treat psychiatric disorders and also others, such as linezolid) [see Warnings and Precautions (5.2)].
Activation of Mania or Hypomania
Advise patients and their caregivers to observe for signs of activation of mania/hypomania and instruct them to report such symptoms to the healthcare provider [see Warnings and Precautions (5.5)].
Abnormal Bleeding
Patients should be cautioned about the concomitant use of escitalopram tablets and NSAIDs, aspirin, warfarin, or other drugs that affect coagulation since combined use of psychotropic drugs that interfere with serotonin reuptake and these agents has been associated with an increased risk of bleeding [see Warnings and Precautions (5.7)].
Angle Closure Glaucoma
Patients should be advised that taking escitalopram tablets can cause mild pupillary dilation, which in susceptible individuals, can lead to an episode of angle closure glaucoma. Pre-existing glaucoma is almost always open-angle glaucoma because angle closure glaucoma, when diagnosed, can be treated definitively with iridectomy. Open-angle glaucoma is not a risk factor for angle closure glaucoma. Patients may wish to be examined to determine whether they are susceptible to angle closure, and have a prophylactic procedure (e.g., iridectomy), if they are susceptible [see Warnings and Precautions (5.9)].
Sexual Dysfunction
Advise patients that use of escitalopram tablets may cause symptoms of sexual dysfunction in both male and female patients. Inform patients that they should discuss any changes in sexual function and potential management strategies with their healthcare provider [see Warnings and Precautions (5.11)].
Concomitant Medications
Since escitalopram is the active isomer of racemic citalopram (Celexa), the two agents should not be coadministered. Patients should be advised to inform their physician if they are taking, or plan to take, any prescription or over-the-counter drugs, as there is a potential for interactions.
Continuing the Therapy Prescribed
While patients may notice improvement with escitalopram tablets therapy in 1 to 4 weeks, they should be advised to continue therapy as directed.
Interference with Psychomotor Performance
Because psychoactive drugs may impair judgment, thinking, or motor skills, patients should be cautioned about operating hazardous machinery, including automobiles, until they are reasonably certain that escitalopram tablets therapy does not affect their ability to engage in such activities.
Alcohol
Patients should be told that, although escitalopram tablets has not been shown in experiments with normal subjects to increase the mental and motor skill impairments caused by alcohol, the concomitant use of escitalopram tablets and alcohol in depressed patients is not advised.
Pregnancy
Advise pregnant women to notify their healthcare providers if they become pregnant or intend to become pregnant during treatment with escitalopram tablets.
Advise patients that escitalopram tablets use later in pregnancy may lead to increased risk for neonatal complications requiring prolonged hospitalization, respiratory support, tube feeding, and/or persistent pulmonary hypertension (PPHN) of the newborn [see Use in Specific Populations (8.1)]. Advise women that there is a pregnancy exposure registry that monitors pregnancy outcomes in women exposed to escitalopram tablets during pregnancy [see Use in Specific Populations (8.1)].
Lactation
Advise breastfeeding women using escitalopram tablets to monitor infants for excess sedation, restlessness, agitation, poor feeding and poor weight gain and to seek medical care if they notice these signs [see Use in Specific Populations (8.2)].
Need for Comprehensive Treatment Program
Escitalopram tablets are indicated as an integral part of a total treatment program for MDD that may include other measures (psychological, educational, social) for patients with this syndrome. Drug treatment may not be indicated for all adolescents with this syndrome. Safety and effectiveness of escitalopram tablets in MDD has not been established in pediatric patients less than 12 years of age. Antidepressants are not intended for use in the adolescent who exhibits symptoms secondary to environmental factors and/or other primary psychiatric disorders. Appropriate educational placement is essential and psychosocial intervention is often helpful. When remedial measures alone are insufficient, the decision to prescribe antidepressant medication will depend upon the physician's assessment of the chronicity and severity of the patient's symptoms.
Dispense with Medication Guide available at: https://www.risingpharma.com/Medguides/EscitalopramTabletsUSPMG.pdf
Manufactured by:
Graviti Pharmaceuticals Private Limited.
Telangana-502307, INDIA.
Distributed by:
Rising Pharma Holdings, Inc.
East Brunswick, NJ 08816.
Mfg. Lic. No.: 12/SRD/TS/2017/F/G.
Issued: 05/2023
Medication Guide
Escitalopram (es'' sye tal' oh pram)
Tablets, USP
Read the Medication Guide that comes with escitalopram tablets before you start taking it and each time you get a refill. There may be new information. This Medication Guide does not take the place of talking to your healthcare provider about your medical condition or treatment. Talk with your healthcare provider if there is something you do not understand or want to learn more about.
What is the most important information I should know about escitalopram tablets?
Escitalopram tablets and other antidepressant medicines may cause serious side effects, including:
1. Suicidal thoughts or actions:
- Escitalopram tablets and other antidepressant medicines may increase suicidal thoughts or actionsin some children, teenagers, or young adults within the first few months of treatment or when the dose is changed.
- Depression or other serious mental illnesses are the most important causes of suicidal thoughts or actions.
- Watch for these changes and call your healthcare provider right away if you notice:
- New or sudden changes in mood, behavior, actions, thoughts, or feelings, especially if severe.
- Pay particular attention to such changes when escitalopram tablets are started or when the dose is changed.
- attempts to commit suicide
- acting on dangerous impulses
- acting aggressive or violent
- thoughts about suicide or dying
- new or worse depression
- new or worse anxiety or panic attacks
- feeling agitated, restless, angry or irritable
- trouble sleeping
- an increase in activity or talking more than what is normal for you
- other unusual changes in behavior or mood
- agitation, hallucinations, coma or other changes in mental status
- coordination problems or muscle twitching (overactive reflexes)
- racing heartbeat, high or low blood pressure
- sweating or fever
- nausea, vomiting, or diarrhea
- muscle rigidity
- trouble breathing
- swelling of the face, tongue, eyes or mouth
- rash, itchy welts (hives) or blisters, alone or with fever or joint pain
- greatly increased energy
- severe trouble sleeping
- racing thoughts
- reckless behavior
- unusually grand ideas
- excessive happiness or irritability
- talking more or faster than usual
- headache
- weakness or feeling unsteady
- confusion, problems concentrating or thinking or memory problems
- eye pain
- changes in vision
- swelling or redness in or around the eye
- Delayed ejaculation or inability to have an ejaculation
- Decreased sex drive
- Problems getting or keeping an erection
- Decreased sex drive
- Delayed orgasm or inability to have an orgasm
- anxiety, irritability, high or low mood, feeling restless or changes in sleep habits
- headache, sweating, nausea, dizziness
- electric shock-like sensations, shaking, confusion
- Major Depressive Disorder (MDD)
- Generalized Anxiety Disorder (GAD)
- are allergic to escitalopram oxalate or citalopram hydrobromide or any of the ingredients in escitalopram tablets. See the end of this Medication Guide for a complete list of ingredients in escitalopram tablets.
- Take a monoamine oxidase inhibitor (MAOI). Ask your healthcare provider or a pharmacist if you are not sure if you take an MAOI, including linezolid.
- Do not take an MAOI within 2 weeks of stopping escitalopram tablets unless directed to do so by your physician.
- Do not start escitalopram tablets if you stopped taking an MAOI in the last 2 weeks unless directed to do so by your physician.
- high fever
- uncontrolled muscle spasms
- stiff muscles
- rapid changes in heart rate or blood pressure
- confusion
- loss of consciousness (pass out)
- Do not take escitalopram tablets with Orap® (pimozide) because taking these two drugs together can cause serious heart problems.
- Are taking certain drugs such as:
- Triptans used to treat migraine headache
- Medicines used to treat mood, anxiety, psychotic or thought disorders, including tricyclics, lithium, SSRIs, SNRIs, amphetamines, or antipsychotics
- Tramadol
- Over-the-counter supplements such as tryptophan or St. John's Wort
- have liver problems
- have kidney problems
- have heart problems
- have or had seizures or convulsions
- have bipolar disorder or mania
- have low sodium levels in your blood
- have a history of a stroke
- have high blood pressure
- have or had bleeding problems
- are pregnant or plan to become pregnant. Taking escitalopram tablets late in pregnancy may lead to an increased risk of certain problems in your newborn. Talk to your healthcare provider about the benefits and risks of treating depression during pregnancy
- are breast-feeding or plan to breast-feed. Escitalopram may pass into your breast milk. Talk to your healthcare provider about the best way to feed your baby if taking escitalopram tablets.
- Take escitalopram tablets exactly as prescribed. Your healthcare provider may need to change the dose of escitalopram tablets until it is the right dose for you.
- Escitalopram tablets may be taken with or without food.
- If you miss a dose of escitalopram tablets, take the missed dose as soon as you remember. If it is almost time for the next dose, skip the missed dose and take your next dose at the regular time. Do not take two doses of escitalopram tablets at the same time.
- If you take too much escitalopram tablets, call your healthcare provider or poison control center right away, or get emergency treatment.
- Nausea
- Sleepiness
- Weakness
- Dizziness
- Feeling anxious
- Trouble sleeping
- Sexual problems
- Sweating
- Shaking
- Not feeling hungry
- Dry mouth
- Constipation
- Infection
- Yawning
- increased thirst
- abnormal increase in muscle movement or agitation
- nose bleed
- difficult urination
- heavy menstrual periods
- possible slowed growth rate and weight change. Your child's height and weight should be monitored during treatment with escitalopram tablets.
- Store escitalopram tablets at 25°C (77°F);
- Keep escitalopram tablets bottle closed tightly.
Keep all follow-up visits with your healthcare provider and call between visits if you are worried about symptoms.
Call your healthcare provider right away if you have any of the following symptoms, or call 911 if an emergency, especially if they are new, worse, or worry you:
Call your healthcare provider right away if you have any of the following symptoms, or call 911 if an emergency. Escitalopram tablets may be associated with these serious side effects:
2. Serotonin Syndrome. This condition can be life-threatening and may include:
3. Severe allergic reactions:
4. Abnormal bleeding: Escitalopram tablets and other antidepressant medicines may increase your risk of bleeding or bruising, especially if you take the blood thinner warfarin (Coumadin®, Jantoven®), a non-steroidal antiinflammatory drug (NSAIDs, like ibuprofen or naproxen), or aspirin.
5. Seizures or convulsions
6. Manic episodes:
7. Changes in appetite or weight. Children and adolescents should have height and weight monitored during treatment.
8. Low salt (sodium) levels in the blood. Elderly people may be at greater risk for this. Symptoms may include:
9. Visual problems
Only some people are at risk for these problems. You may want to undergo an eye examination to see if you are at risk and receive preventative treatment if you are.
10. Sexual Dysfunction. Taking selective serotonin reuptake inhibitors (SSRIs), including escitalopram tablets, may cause sexual problems.
Symptoms in males may include:
Symptoms in females may include:
Talk to your healthcare provider if you develop any changes in your sexual function or if you have any questions or concerns about sexual problems during treatment with escitalopram tablets. There may be treatments your healthcare provider can suggest.
Do not stop escitalopram tablets without first talking to your healthcare provider. Stopping escitalopram tablets too quickly may cause serious symptoms including:
What are escitalopram tablets?
Escitalopram tablets are a prescription medicine used to treat depression. It is important to talk with your healthcare provider about the risks of treating depression and also the risks of not treating it. You should discuss all treatment choices with your healthcare provider. Escitalopram tablets are also used to treat:
Talk to your healthcare provider if you do not think that your condition is getting better with escitalopram tablets treatment.
Who should not take escitalopram tablets?
Do not take escitalopram tablets if you:
People who take escitalopram tablets close in time to an MAOI may have serious or even life-threatening side effects. Get medical help right away if you have any of these symptoms:
What should I tell my healthcare provider before taking escitalopram tablets? Ask if you are not sure.
Before starting escitalopram tablets, tell your healthcare provider if you:
Tell your healthcare provider about all the medicines that you take, including prescription and non-prescription medicines, vitamins, and herbal supplements. Escitalopram tablets and some medicines may interact with each other, may not work as well, or may cause serious side effects.
Your healthcare provider or pharmacist can tell you if it is safe to take escitalopram tablets with your other medicines. Do not start or stop any medicine while taking escitalopram tablets without talking to your healthcare provider first.
| If you take escitalopram tablets, you should not take any other medicines that contain escitalopram oxalate or citalopram hydrobromide including: Celexa. |
How should I take escitalopram tablets?
What should I avoid while taking escitalopram tablets?
Escitalopram tablets can cause sleepiness or may affect your ability to make decisions, think clearly, or react quickly. You should not drive, operate heavy machinery, or do other dangerous activities until you know how escitalopram tablets affect you. Do not drink alcohol while using escitalopram tablets.
What are the possible side effects of escitalopram tablets?
Escitalopram tablets may cause serious side effects, including all of those described in the section entitled "What is the most important information I should know about escitalopram tablets?"
Common possible side effects in people who take escitalopram tablets include:
Other side effects in children and adolescents include:
Tell your healthcare provider if you have any side effect that bothers you or that does not go away. These are not all the possible side effects of escitalopram tablets. For more information, ask your healthcare provider or pharmacist.
CALL YOUR DOCTOR FOR MEDICAL ADVICE ABOUT SIDE EFFECTS. YOU MAY REPORT SIDE EFFECTS TO THE FDA AT 1-800-FDA-1088.
How should I store escitalopram tablets?
Keep escitalopram tablets and all medicines out of the reach of children.
General information about escitalopram tablets
Medicines are sometimes prescribed for purposes other than those listed in a Medication Guide. Do not use escitalopram tablets for a condition for which it was not prescribed. Do not give escitalopram tablets to other people, even if they have the same condition. It may harm them.
This Medication Guide summarizes the most important information about escitalopram tablets. If you would like more information, talk with your healthcare provider. You may ask your healthcare provider or pharmacist for information about escitalopram tablets that is written for healthcare professionals.
For more information, call Rising Pharma Holdings Inc., at 1-844-874-7464.
What are the ingredients in escitalopram tablets?
Active ingredient: escitalopram oxalate
Inactive ingredients:
Tablets: butylated hydroxyanisole, croscarmellose sodium, lactose monohydrate, magnesium stearate and microcrystalline cellulose. The film coating contains hydroxypropyl cellulose, hypromellose, polyethylene glycol, and titanium dioxide.
This Medication Guide has been approved by the U.S. Food and Drug Administration.
The brands listed are registered trademarks of their respective owners.
Manufactured by:
Graviti Pharmaceuticals Private Limited.
Telangana-502307, INDIA.
Distributed by:
Rising Pharma Holdings, Inc.
East Brunswick, NJ 08816.
Mfg. Lic. No.: 12/SRD/TS/2017/F/G.
Issued: 05/2023
* Please review the disclaimer below.
