Product Images Thiotepa

View Photos of Packaging, Labels & Appearance

Product Label Images

The following 2 images provide visual information about the product associated with Thiotepa NDC 83634-204 by Avenacy, Llc, such as packaging, labeling, and the appearance of the drug itself. This resource could be helpful for medical professionals, pharmacists, and patients seeking to verify medication information and ensure they have the correct product.

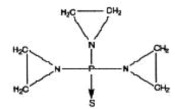
Structural Formula - thi09 0002 01

Structural Formula - thi09 0002 01

PACKAGE LABEL - PRINCIPAL DISPLAY PANEL – Vial Label - thi09 0002 02

PACKAGE LABEL - PRINCIPAL DISPLAY PANEL – Vial Label - thi09 0002 02