Product Images Bupivacaine Hydrochloride

View Photos of Packaging, Labels & Appearance

Product Label Images

The following 3 images provide visual information about the product associated with Bupivacaine Hydrochloride NDC 84549-162 by Propharma Distribution, such as packaging, labeling, and the appearance of the drug itself. This resource could be helpful for medical professionals, pharmacists, and patients seeking to verify medication information and ensure they have the correct product.

label - 84549 162 02

label - 84549 162 02

This is a description of Bupivacaine HCl (PF) Injection USP in a 30mL single-dose vial. The medication is for infiltration and nerve block purposes but not for caudal and epidural anesthesia. It contains sulfites and should be protected from light. The storage conditions are specified as between 20 to 25 degrees Celsius, with excursions permitted between 15 to 30 degrees Celsius. The manufacturer is Hospira, Inc., and the item details include LOT and EXP numbers. The medication is packaged by ProPharma Distribution LLC in Westminster, Colorado.*

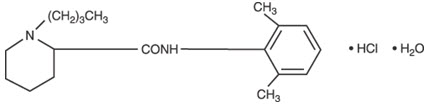
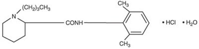
Chemical Structure - bupivacaine 01

Chemical Structure - bupivacaine 01

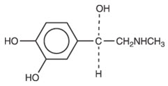
Chemical Structure - bupivacaine 02

Chemical Structure - bupivacaine 02

* The product label images have been analyzed using a combination of traditional computing and machine learning techniques. It should be noted that the descriptions provided may not be entirely accurate as they are experimental in nature. Use the information in this page at your own discretion and risk.