Product Images Metoprolol Tartrate

View Photos of Packaging, Labels & Appearance

Product Label Images

The following 3 images provide visual information about the product associated with Metoprolol Tartrate NDC 84549-778 by Propharma Distribution, such as packaging, labeling, and the appearance of the drug itself. This resource could be helpful for medical professionals, pharmacists, and patients seeking to verify medication information and ensure they have the correct product.

label - 84549 778 05

label - 84549 778 05

This is a description of Metoprolol Tartrate IV Solution, a prescription medication in the form of an injection. It is a 1mg/mL solution provided in a 5mL single-dose vial for intravenous use only. The medication must be protected from light and stored at a temperature between 20°C to 25°C. The product information includes details about the manufacturer, expiration date, lot number, and packaging details. For complete details on usage and prescribing information, refer to the manufacturer's insert.*

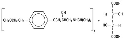
Chemical Structure - metoprolol 01

Chemical Structure - metoprolol 01

Logo - metoprolol 02

Logo - metoprolol 02

* The product label images have been analyzed using a combination of traditional computing and machine learning techniques. It should be noted that the descriptions provided may not be entirely accurate as they are experimental in nature. Use the information in this page at your own discretion and risk.