Product Images Aminophylline

View Photos of Packaging, Labels & Appearance

Product Label Images

The following 2 images provide visual information about the product associated with Aminophylline NDC 84549-922 by Propharma Distribution, such as packaging, labeling, and the appearance of the drug itself. This resource could be helpful for medical professionals, pharmacists, and patients seeking to verify medication information and ensure they have the correct product.

label - 84549 922 01

label - 84549 922 01

This text describes an Aminophylline IV Solution that is meant for slow intravenous use only. Each vial contains 20mL of solution with a concentration of 25mg/mL. It is advised to store the solution in its original carton, to protect from light and discard if crystals have formed. The solution should be stored at 20 to 25 degrees Celsius. Additional details like lot number, expiration date, and manufacturer information are listed for identification and tracking purposes.*

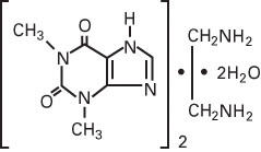
structural formula aminophylline - aminophylline 01

structural formula aminophylline - aminophylline 01

* The product label images have been analyzed using a combination of traditional computing and machine learning techniques. It should be noted that the descriptions provided may not be entirely accurate as they are experimental in nature. Use the information in this page at your own discretion and risk.