FDA Label for Lactulose Crystalline
View Indications, Usage & Precautions
- OTHER
- DESCRIPTION
- CLINICAL PHARMACOLOGY
- INDICATIONS AND USAGE
- CONTRAINDICATIONS
- WARNINGS
- GENERAL
- INFORMATION FOR PATIENTS
- LABORATORY TESTS
- DRUG INTERACTIONS
- CARCINOGENESIS, MUTAGENESIS, IMPAIRMENT OF FERTILITY
- TERATOGENIC EFFECTS
- NURSING MOTHERS
- PEDIATRIC USE
- ADVERSE REACTIONS
- SIGNS AND SYMPTOMS
- ORAL LD50
- DIALYSIS
- DOSAGE AND ADMINISTRATION
- DIRECTIONS FOR PREPARATION
- HOW SUPPLIED
- PRINCIPAL DISPLAY PANEL - 10 G CARTON LABEL
- PRINCIPAL DISPLAY PANEL - 10 G POUCH LABEL
- PRINCIPAL DISPLAY PANEL - 20 G CARTON LABEL
- PRINCIPAL DISPLAY PANEL - 20 G POUCH LABEL
Lactulose Crystalline Product Label
The following document was submitted to the FDA by the labeler of this product Cumberland Assured Products Inc.. The document includes published materials associated whith this product with the essential scientific information about this product as well as other prescribing information. Product labels may durg indications and usage, generic names, contraindications, active ingredients, strength dosage, routes of administration, appearance, warnings, inactive ingredients, etc.
Other
Rx Only
Description
LACTULOSE is a synthetic disaccharide in the form of crystals for reconstitution prior to use for oral administration Each 10 g of lactulose contains less than 0.3 g galactose and lactose as a total sum. The pH range is 3.0 to 7.0.
Lactulose is a colonic acidifier which promotes laxation.
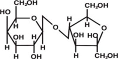
The chemical name for lactulose is 4-O-β-D-Galactopyranosyl-D-fructofuranose. It has the following structural formula:
The molecular formula is C12H22O11. The molecular weight is 342.30.
It is freely soluble in water.
Clinical Pharmacology
LACTULOSE For Oral Solution is poorly absorbed from the gastro-intestinal tract and no enzyme capable of hydrolysis of this disaccharide is present in human gastrointestinal tissue. As a result, oral doses of lactulose reach the colon virtually unchanged. In the colon, lactulose is broken down primarily to lactic acid, and also to small amounts of formic and acetic acids, by the action of colonic bacteria, which results in an increase in osmotic pressure and slight acidification of the colonic contents. This in turn causes an increase in stool water content and softens the stool.
Since lactulose does not exert its effect until it reaches the colon, and since transit time through the colon may be slow, 24 to 48 hours may be required to produce desired bowel movement.
Lactulose given orally to man and experimental animals resulted in only small amounts reaching the blood. Urinary excretion has been determined to be 3% or less and is essentially complete within 24 hours.
Indications And Usage
LACTULOSE For Oral Solution is indicated for the treatment of constipation. In patients with a history of chronic constipation, lactulose therapy increases the number of bowel movements per day and the number of days on which bowel movements occur.
Contraindications
Since LACTULOSE For Oral Solution contains galactose (less than 0.3 g/10 g as a total sum with lactose), it is contraindicated in patients who require a low galactose diet.
Warnings
A theoretical hazard may exist for patients being treated with lactulose who may be required to undergo electrocautery procedures during proctoscopy or colonoscopy. Accumulation of H2 gas in significant concentration in the presence of an electrical spark may result in an explosive reaction. Although this complication has not been reported with lactulose, patients on lactulose therapy undergoing such procedures should have a thorough bowel cleansing with a non-fermentable solution. Insufflation of CO2 as an additional safeguard may be pursued but is considered to be a redundant measure.
General
Since LACTULOSE For Oral Solution contains galactose and lactose (less than 0.3 g/10 g as a total sum), it should be used with caution in diabetics.
Information For Patients
In the event that an unusual diarrheal condition occurs, contact your physician.
Laboratory Tests
Elderly, debilitated patients who receive lactulose for more than six months should have serum electrolytes (potassium, chloride, carbon dioxide) measured periodically.
Drug Interactions
Results of preliminary studies in humans and rats suggest that nonabsorbable antacids given concurrently with lactulose may inhibit the desired lactulose-induced drop in colonic pH. Therefore, a possible lack of desired effect of treatment should be taken into consideration before such drugs are given concomitantly with lactulose.
Carcinogenesis, Mutagenesis, Impairment Of Fertility
There are no known human data on long-term potential for carcinogenicity, mutagenicity, or impairment of fertility.
There are no known animal data on long-term potential for mutagenicity.
Administration of lactulose syrup in the diet of mice for 18 months in concentrations of 3 and 10 percent (v/w) did not produce any evidence of carcinogenicity.
In studies in mice, rats, and rabbits, doses of lactulose syrup up to 6 or 12 mL/kg/day produced no deleterious effects in breeding, conception, or parturition.
Teratogenic Effects
Reproduction studies have been performed in mice, rats, and rabbits at doses up to 3 or 6 times the usual human oral dose and have revealed no evidence of impaired fertility or harm to the fetus due to lactulose. There are, however, no adequate and well-controlled studies in pregnant women. Because animal reproduction studies are not always predictive of human response, this drug should be used during pregnancy only if clearly needed.
Nursing Mothers
It is not known whether this drug is excreted in human milk. Because many drugs are excreted in human milk, caution should be exercised when lactulose is administered to a nursing woman.
Pediatric Use
Safety and effectiveness in pediatric patients have not been established.
Adverse Reactions
Precise frequency data are not available.
Initial dosing may produce flatulence and intestinal cramps, which are usually transient. Excessive dosage can lead to diarrhea with potential complications such as loss of fluids, hypokalemia, and hypernatremia.
Nausea and vomiting have been reported.
Signs And Symptoms
There have been no reports of accidental overdosage. In the event of overdosage, it is expected that diarrhea and abdominal cramps would be the major symptoms. Medication should be terminated.
Oral Ld50
The acute oral LD50 of the drug is 48.8 mL/kg in mice and greater than 30 mL/kg in rats.
Dialysis
Dialysis data are not available for lactulose. Its molecular similarity to sucrose, however, would suggest that it should be dialyzable.
Dosage And Administration
The usual adult dosage is 10 g to 20 g of lactulose daily. The dose may be increased to 40 g daily if necessary. Twenty-four to 48 hours may be required to produce a normal bowel movement.
Directions For Preparation
Dissolve contents of packet in half a glass (4 ounces) of water.
When LACTULOSE For Oral Solution is dissolved in water, the resulting solution may be colorless to a slightly pale yellow color.
How Supplied
LACTULOSE For Oral Solution is available in single dose packets of 10 g (NDC 85592-819-01) and single dose packets of 20 g (NDC 85592-829-01). The packets are supplied as follows:
NDC 85592-819-30
(Carton of thirty 10 g packets) NDC 85592-829-30
(Carton of thirty 20 g packets)
STORE AT ROOM TEMPERATURE, 15°-30°C (59°-86°F).
To report SUSPECTED ADVERSE REACTIONS, contact Cumberland Assured Products Inc. at 1-615-564-2189 or FDA at 1-800-FDA-1088 or www.fda.gov/medwatch.
Manufactured for:
CUMBERLAND ASSURED PRODUCTS INC.
Nashville, TN 37203
Issued: July 2025
Principal Display Panel - 10 G Carton Label
NDC 85592-819-30
crystalline
Lactulose
For Oral Solution
10 Grams 30 Single Dose Packets
CUMBERLAND ASSURED PRODUCTS
Rx only
Principal Display Panel - 10 G Pouch Label
NDC 85592-819-01
crystalline
Lactulose
For Oral Solution
10 Grams
Single Dose Packet
Rx only
Principal Display Panel - 20 G Carton Label
NDC 85592-829-30
crystalline
Lactulose
For Oral Solution
20 Grams 30 Single Dose Packets
CUMBERLAND ASSURED PRODUCTS
Rx only
Principal Display Panel - 20 G Pouch Label
NDC 85592-829-01
crystalline
Lactulose
For Oral Solution
20 Grams
Single Dose Packet
Rx only
* Please review the disclaimer below.




