Product Images Isopto Atropine

View Photos of Packaging, Labels & Appearance

Product Label Images

The following 5 images provide visual information about the product associated with Isopto Atropine NDC 0065-0303 by Alcon Laboratories, Inc., such as packaging, labeling, and the appearance of the drug itself. This resource could be helpful for medical professionals, pharmacists, and patients seeking to verify medication information and ensure they have the correct product.

15 mL Carton

15 mL Carton

This is a prescription drug named Isopto Atropine. It is an ophthalmic solution that contains active ingredients such as sulfate monohydrate and two inactive ingredients, ypromelose and boris acid. The dosage is given for adults and caution is advised during storage and use to prevent contamination. The product is manufactured in Germany by a company called Novarts.*

15 mL label

15 mL label

5 ml carton

5 ml carton

Isopto Atropine is a pharmaceutical solution containing 1% Atropine sulfate and is used as a mydriatic agent. It is intended to dilate the pupil to enable proper examination of the eye. The standard adult dosage is a single drop of this solution per eye. Its inactive ingredients include boric acid and sodium hydroxide. The included text does not provide a complete and useful description, missing important details.*

5 ml label

5 ml label

This text seems to be a list of various eye medications and their ingredients. It is not easily understandable due to the presence of errors.*

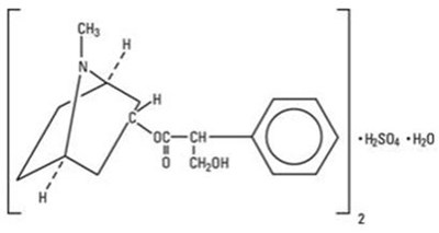
Chemical Structure - structure

Chemical Structure - structure

* The product label images have been analyzed using a combination of traditional computing and machine learning techniques. It should be noted that the descriptions provided may not be entirely accurate as they are experimental in nature. Use the information in this page at your own discretion and risk.