FDA Label for Isolyte S
View Indications, Usage & Precautions
Isolyte S Product Label
The following document was submitted to the FDA by the labeler of this product B. Braun Medical Inc.. The document includes published materials associated whith this product with the essential scientific information about this product as well as other prescribing information. Product labels may durg indications and usage, generic names, contraindications, active ingredients, strength dosage, routes of administration, appearance, warnings, inactive ingredients, etc.
Description
Each 100 mL of Isolyte® S (Multi-Electrolyte Injection) contains:
Sodium Chloride USP 0.53 g; Sodium Gluconate USP 0.5 g
Sodium Acetate Trihydrate USP 0.37 g; Potassium Chloride USP 0.037 g
Magnesium Chloride Hexahydrate USP 0.03 g
Water for Injection USP qs
pH adjusted with Glacial Acetic Acid USP
pH: 6.7 (6.3–7.3)
Calculated Osmolarity: 295 mOsmol/liter
Concentration of Electrolytes (mEq/liter): Sodium 140; Potassium 5
Magnesium 3; Chloride 98; Acetate (CH3COO−) 27
Gluconate (HOCH2(CHOH)4COO−) 23
Isolyte® S is sterile, nonpyrogenic, and contains no bacteriostatic or antimicrobial agents.
The formulas of the active ingredients are:
| Ingredients | Molecular Formula | Molecular Weight |
|---|---|---|
| Sodium Chloride USP | NaCl | 58.44 |
| Sodium Acetate Trihydrate USP | CH3COONa•3H2O | 136.08 |
| Potassium Chloride USP | KCl | 74.55 |
| Magnesium Chloride Hexahydrate USP | MgCl2•6H2O | 203.30 |
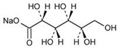
| Sodium Gluconate USP | | 218.14 |
Not made with natural rubber latex, PVC or DEHP.
The plastic container is made from a multilayered film specifically developed for parenteral drugs. It contains no plasticizers and exhibits virtually no leachables. The solution contact layer is a rubberized copolymer of ethylene and propylene. The container is nontoxic and biologically inert. The container-solution unit is a closed system and is not dependent upon entry of external air during administration. The container is overwrapped to provide protection from the physical environment and to provide an additional moisture barrier when necessary.
Addition of medication should be accomplished using complete aseptic technique.
The closure system has two ports; the one for the administration set has a tamper evident plastic protector and the other is a medication addition site. Refer to the Directions for Use of the container.
Clinical Pharmacology
Isolyte® S provides electrolytes and is a source of water for hydration. It is capable of inducing diuresis depending on the clinical condition of the patient.
Sodium, the major cation of the extracellular fluid, functions primarily in the control of water distribution, fluid balance, and osmotic pressure of body fluids. Sodium is also associated with chloride and bicarbonate in the regulation of the acid-base equilibrium of body fluid.
Potassium, the principal cation of intracellular fluid, participates in carbohydrate utilization and protein synthesis, and is critical in the regulation of nerve conduction and muscle contraction, particularly in the heart.
Chloride, the major extracellular anion, closely follows the metabolism of sodium, and changes in the acid-base balance of the body are reflected by changes in the chloride concentration.
Magnesium, a principal cation of soft tissue, is primarily involved in enzyme activity associated with the metabolism of carbohydrates and protein. Magnesium is also involved in neuromuscular irritability.
Gluconate and acetate are organic ions which are hydrogen ion acceptors and contribute bicarbonate during their metabolism to carbon dioxide and water.
Indications And Usage
This solution is indicated for use in adults and pediatric patients as a source of electrolytes and water for hydration, and as an alkalinizing agent.
Contraindications
This solution is contraindicated where the administration of sodium, potassium, magnesium, chloride, acetate or gluconate could be clinically detrimental.
Warnings
The administration of intravenous solutions can cause fluid and/or solute overload resulting in dilution of serum electrolyte concentrations, overhydration, congested states or pulmonary edema. The risk of dilutional states is inversely proportional to the electrolyte concentration. The risk of solute overload causing congested states with peripheral and pulmonary edema is directly proportional to the electrolyte concentration.
Solutions containing sodium ions should be used with great care, if at all, in patients with congestive heart failure, severe renal insufficiency, and in clinical states in which there is sodium retention with edema.
Solutions containing potassium ions should be used with great care, if at all, in patients with hyperkalemia, severe renal failure, and in conditions in which potassium retention is present.
In patients with diminished renal function, administration of solutions containing sodium or potassium ions may result in sodium or potassium retention.
Solutions containing gluconate or acetate should be used with great care in patients with metabolic or respiratory alkalosis and in those conditions in which there is an increased level or an impaired utilization of these ions, such as severe hepatic insufficiency.
General
Clinical evaluation and periodic laboratory determinations are necessary to monitor changes in fluid balance, electrolyte concentrations, and acid-base balance during prolonged parenteral therapy or whenever the condition of the patient warrants such evaluation. Significant deviations from normal concentrations may require tailoring of the electrolyte pattern, in this or an alternative solution.
This solution should be used with care in patients with hypervolemia, renal insufficiency, urinary tract obstruction, or impending or frank cardiac decompensation.
Extraordinary electrolyte losses such as may occur during protracted nasogastric suction, vomiting, diarrhea or gastrointestinal fistula drainage may necessitate additional electrolyte supplementation.
Additional essential electrolytes, minerals, and vitamins should be supplied as needed.
Sodium-containing solutions should be administered with caution to patients receiving corticosteroids or corticotropin, or to other salt-retaining patients.
Potassium therapy should be guided primarily by serial electrocardiograms, especially in patients receiving digitalis. Serum potassium levels are not necessarily indicative of tissue potassium levels.
Care should be exercised in administering solutions containing sodium or potassium to patients with renal or cardiovascular insufficiency, with or without congestive heart failure, particularly if they are postoperative or elderly.
Solutions containing potassium or magnesium should be used with caution in the presence of cardiac disease, particularly when accompanied by renal disease.
Parenteral magnesium should be administered with extreme caution to patients receiving digitalis preparations.
Administration of barbiturates, narcotics, hypnotics or systemic anesthetics should be adjusted with caution in patients also receiving magnesium-containing solutions because of an additive central depressive effect.
Solutions containing gluconate or acetate should be used with caution. Excess administration may result in metabolic alkalosis.
To minimize the risk of possible incompatibilities arising from mixing this solution with other additives that may be prescribed, the final infusate should be inspected for cloudiness or precipitation immediately after mixing, prior to administration, and periodically during administration.
Do not use plastic containers in series connection.
If administration is controlled by a pumping device, care must be taken to discontinue pumping action before the container runs dry or air embolism may result. If administration is not controlled by a pumping device, refrain from applying excessive pressure (>300mmHg) causing distortion to the container such as wringing or twisting. Such handling could result in breakage of the container.
This solution is intended for intravenous administration using sterile equipment. It is recommended that intravenous administration apparatus be replaced at least once every 24 hours.
Use only if solution is clear and container and seals are intact.
Pregnancy Category C
Animal reproduction studies have not been conducted with Isolyte® S (Multi-Electrolyte Injection). It is also not known whether Isolyte S can cause fetal harm when administered to a pregnant woman or can affect reproduction capacity. Isolyte S should be given to a pregnant woman only if clearly needed.
Pediatric Use
Safety and effectiveness of Isolyte® S (Multi-Electrolyte Injection) in pediatric patients have not been established by adequate and well controlled trials. However, the use of multi-electrolyte solutions in the pediatric population is referenced in the medical literature. The warnings, precautions, and adverse reactions identified in the label copy should be observed in the pediatric population.
Geriatric Use
Clinical studies of Isolyte® S (Multi-Electrolyte Injection) did not include sufficient numbers of subjects aged 65 and over to determine whether they respond differently from younger subjects. Other reported clinical experience has not identified differences in responses between the elderly and younger patients. In general, dose selection for an elderly patient should be cautious, usually starting at the low end of the dosing range, reflecting the greater frequency of decreased hepatic, renal, or cardiac function, and of concomitant disease or other drug therapy.
Adverse Reactions
Reactions which may occur because of the solution or the technique of administration include febrile response, infection at the site of injection, venous thrombosis or phlebitis extending from the site of injection, extravasation and hypervolemia.
Symptoms may result from an excess or deficit of one or more of the ions present in the solution; therefore, frequent monitoring of electrolyte levels is essential.
Hypernatremia may be associated with edema and exacerbation of congestive heart failure due to the retention of water, resulting in an expanded extracellular fluid volume.
Reactions reported with the use of potassium-containing solutions include nausea, vomiting, abdominal pain and diarrhea. The signs and symptoms of potassium intoxication include paresthesias of the extremities, areflexia, muscular or respiratory paralysis, mental confusion, weakness, hypotension, cardiac arrhythmias, heart block, electrocardiographic abnormalities and cardiac arrest. Potassium deficits result in disruption of neuromuscular function, and intestinal ileus and dilatation.
If infused in large amounts, chloride ions may cause a loss of bicarbonate ions, resulting in an acidifying effect.
Abnormally high plasma levels of magnesium can result in flushing, sweating, hypotension, circulatory collapse, and depression of cardiac and central nervous system function. Respiratory depression is the most immediate threat to life. Magnesium deficits can result in tachycardia, hypertension, hyperirritability and psychotic behavior.
The physician should also be alert to the possibility of adverse reactions to drug additives. Prescribing information for drug additives to be administered in this manner should be consulted.
If an adverse reaction does occur, discontinue the infusion, evaluate the patient, institute appropriate therapeutic countermeasures and save the remainder of the fluid for examination if deemed necessary.
Overdosage
In the event of a fluid or solute overload during parenteral therapy, reevaluate the patient's condition, and institute appropriate corrective treatment.
In the event of overdosage with potassium-containing solutions, discontinue the infusion immediately and institute corrective therapy to reduce serum potassium levels.
Treatment of hyperkalemia includes the following:
- Dextrose Injection USP, 10% or 25%, containing 10 units of crystalline insulin per 20 grams of dextrose administered intravenously, 300 to 500 mL per hour.
- Absorption and exchange of potassium using sodium or ammonium cycle cation exchange resin, orally and as retention enema.
- Hemodialysis and peritoneal dialysis. The use of potassium-containing foods or medications must be eliminated. However, in cases of digitalization, too rapid a lowering of plasma potassium concentration can cause digitalis toxicity.
Dosage And Administration
This solution is for intravenous use only.
Dosage is to be directed by a physician and is dependent upon age, weight, clinical condition of the patient and laboratory determinations. Frequent laboratory determinations and clinical evaluation are essential to monitor changes in blood glucose and electrolyte concentrations, and fluid and electrolyte balance during prolonged parenteral therapy.
Fluid administration should be based on calculated maintenance or replacement fluid requirements for each patient.
Isolyte® S (Multi-Electrolyte Injection) contains no phosphate. It may be admixed with solutions which contain phosphate or which have been supplemented with phosphate. The presence of calcium and magnesium ions should be considered when phosphate is present in the additive solution, in order to avoid precipitation.
Some additives may be incompatible. Consult with pharmacist. When introducing additives, use aseptic techniques. Mix thoroughly. Do not store.
Parenteral drug products should be inspected visually for particulate matter and discoloration prior to administration, whenever solution and container permit.
How Supplied
Isolyte® S (Multi-Electrolyte Injection) is supplied sterile and nonpyrogenic in 1000 mL EXCEL® Containers packaged 12 per case.
| NDC | REF | Size |
|---|---|---|
| Isolyte® S (Multi-Electrolyte Injection) (Canada DIN 01931628) | ||
| 0264-7703-00 | L7030 | 1000 mL |
Directions For Use Of Excel® Container
Caution: Do not use plastic containers in series connection.
To Open
Tear overwrap down at notch and remove solution container. Check for minute leaks by squeezing solution container firmly. If leaks are found, discard solution as sterility may be impaired. If supplemental medication is desired, follow directions below before preparing for administration.
NOTE: Before use, perform the following checks:
- Inspect each container. Read the label. Ensure solution is the one ordered and is within the expiration date.
- Invert container and carefully inspect the solution in good light for cloudiness, haze, or particulate matter. Any container which is suspect should not be used.
- Use only if solution is clear and container and seals are intact.
- Remove plastic protector from sterile set port at bottom of container.
- Attach administration set. Refer to complete directions accompanying set.
- Prepare medication site.
- Using syringe with 18–22 gauge needle, puncture medication port and inner diaphragm and inject.
- Squeeze and tap ports while ports are upright and mix solution and medication thoroughly.
- Close clamp on the set.
- Prepare medication site.
- Using syringe with 18–22 gauge needle of appropriate length (at least 5/8 inch), puncture resealable medication port and inner diaphragm and inject.
- Remove container from IV pole and/or turn to an upright position.
- Evacuate both ports by tapping and squeezing them while container is in the upright position.
- Mix solution and medication thoroughly.
- Return container to in use position and continue administration.
Preparation for Administration
To Add Medication
Warning: Some additives may be incompatible.
To Add Medication Before Solution Administration
To Add Medication During Solution Administration
Principal Display Panel - 1000 Ml Container Label
Isolyte® S
(Multi-Electrolyte Injection)
REF L7030
NDC 0264-7703-00
DIN 01931628
1000 mL
EXCEL® CONTAINER
Electrolytes (mEq/liter):
Na+ 140 Mg++ 3 Acetate 27
K+ 5 Cl– 98 Gluconate 23
Each 100 mL contains: Sodium Chloride USP 0.53 g; Sodium
Gluconate USP 0.5 g; Sodium Acetate•3H2O USP 0.37 g;
Potassium Chloride USP 0.037 g; Magnesium Chloride•6H2O
USP 0.03 g; Water for Injection USP qs
pH adjusted with Glacial Acetic Acid USP
pH: 6.7 (6.3-7.3); Calc. Osmolarity: 295 mOsmol/liter
Sterile, nonpyrogenic. Single dose container. Do not use in series
connection. For intravenous use only. Use only if solution is clear
and container and seals are intact.
WARNINGS: Some additives may be incompatible. Consult with
pharmacist. When introducing additives, use aseptic techniques.
Mix thoroughly. Do not store.
Recommended Storage: Room temperature (25°C). Avoid
excessive heat. Protect from freezing. See Package Insert.
Do not remove overwrap until ready for use. After removing the
overwrap, check for minute leaks by squeezing container firmly. If
leaks are found, discard solution as sterility may be impaired.
Not made with natural rubber latex, PVC or DEHP.
Rx only
EXCEL and Isolyte are registered trademarks
of B. Braun Medical Inc.
B. Braun Medical Inc.
Bethlehem, PA 18018-3524 USA
1-800-227-2862
In Canada, distributed by:
B. Braun of Canada, Ltd.
Scarborough, Ontario M1H 2W4
Y94-003-243
LD-151-3
EXP
LOT
* Please review the disclaimer below.

