Product Images Amlodipine Besylate And Benazepril Hydrochloride

View Photos of Packaging, Labels & Appearance

Product Label Images

The following 6 images provide visual information about the product associated with Amlodipine Besylate And Benazepril Hydrochloride NDC 54868-5792 by Physicians Total Care, Inc., such as packaging, labeling, and the appearance of the drug itself. This resource could be helpful for medical professionals, pharmacists, and patients seeking to verify medication information and ensure they have the correct product.

10/20 mg - 5781

10/20 mg - 5781

5/20 mg - 5782

5/20 mg - 5782

This text is not-available.*

5/10 mg - 5792

5/10 mg - 5792

Not available.*

2.5/10 mg - 5793

2.5/10 mg - 5793

The text is not readable.*

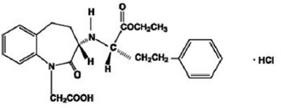
amlo-structure - amlodbenazcap plr figure 01

amlo-structure - amlodbenazcap plr figure 01

footer - amlodbenazcap plr figure 02

* The product label images have been analyzed using a combination of traditional computing and machine learning techniques. It should be noted that the descriptions provided may not be entirely accurate as they are experimental in nature. Use the information in this page at your own discretion and risk.