FDA Label for Epinephrine 0.15 Pediatrics
View Indications, Usage & Precautions
- 1 INDICATIONS AND USAGE
- 2.1 RECOMMENDED DOSAGE ACCORDING TO PATIENT BODY WEIGHT
- 2.2 ADMINISTRATION INSTRUCTIONS
- 3 DOSAGE FORMS AND STRENGTHS
- 4 CONTRAINDICATIONS
- 5.1 EMERGENCY TREATMENT
- 5.2 INJECTION-RELATED COMPLICATIONS
- 5.3 SERIOUS INFECTIONS AT THE INJECTION SITE
- 5.4 ALLERGIC REACTIONS ASSOCIATED WITH SULFITE
- 5.5 DISEASE INTERACTIONS
- 6 ADVERSE REACTIONS
- 7 DRUG INTERACTIONS
- RISK SUMMARY
- DISEASE-ASSOCIATED MATERNAL AND EMBRYO/FETAL RISK
- ANIMAL DATA
- 8.4 PEDIATRIC USE
- 8.5 GERIATRIC USE
- 10 OVERDOSAGE
- 11 DESCRIPTION
- 12.1 MECHANISM OF ACTION
- 12.2 PHARMACODYNAMICS
- 13.1 CARCINOGENESIS, MUTAGENESIS, IMPAIRMENT OF FERTILITY
- 16 HOW SUPPLIED/STORAGE AND HANDLING
- 17 PATIENT COUNSELING INFORMATION
- PATIENT INFORMATION AND INSTRUCTIONS FOR USE
- PATIENT INFORMATION
- INSTRUCTIONS FOR USE
- EPINEPHRINE INJECTION, USP AUTO-INJECTOR TRAINER
- PRINCIPAL DISPLAY PANEL – 0.3 MG
- PRINCIPAL DISPLAY PANEL – 0.15 MG
Epinephrine 0.15 Pediatrics Product Label
The following document was submitted to the FDA by the labeler of this product Sina Health Inc. The document includes published materials associated whith this product with the essential scientific information about this product as well as other prescribing information. Product labels may durg indications and usage, generic names, contraindications, active ingredients, strength dosage, routes of administration, appearance, warnings, inactive ingredients, etc.
1 Indications And Usage
Epinephrine injection, USP auto-injectors are indicated in the emergency treatment of allergic reactions (Type I) including anaphylaxis to stinging insects (e.g., order Hymenoptera, which include bees, wasps, hornets, yellow jackets and fire ants) and biting insects (e.g., triatoma, mosquitoes), allergen immunotherapy, foods, drugs, diagnostic testing substances (e.g., radiocontrast media) and other allergens, as well as idiopathic anaphylaxis or exercise-induced anaphylaxis.
Epinephrine injection, USP auto-injectors are intended for immediate administration in patients who are determined to be at increased risk for anaphylaxis, including individuals with a history of anaphylactic reactions.
Anaphylactic reactions may occur within minutes after exposure and consist of flushing, apprehension, syncope, tachycardia, thready or unobtainable pulse associated with a fall in blood pressure, convulsions, vomiting, diarrhea and abdominal cramps, involuntary voiding, wheezing, dyspnea due to laryngeal spasm, pruritus, rashes, urticaria or angioedema.
Epinephrine injection, USP auto-injectors are intended for immediate administration as emergency supportive therapy only and are not a substitute for immediate medical care.
2.1 Recommended Dosage According To Patient Body Weight
- Patients greater than or equal to 30 kg (approximately 66 pounds or more): epinephrine injection, USP auto-injector, 0.3 mg
- Patients 15 kg to 30 kg (33 pounds to 66 pounds): epinephrine injection, USP auto-injector, 0.15 mg
2.2 Administration Instructions
- Inject the single-dose epinephrine injection, USP auto-injector intramuscularly or subcutaneously into the anterolateral aspect of the thigh, through clothing if necessary. Do not inject intravenously, and do not inject into buttocks, into digits, hands or feet [see Warnings and Precautions (5.2)].
- Instruct caregivers of young children who are prescribed an epinephrine injection, USP auto-injector and who may be uncooperative and kick or move during an injection to hold the leg firmly in place and limit movement prior to and during an injection [see Warnings and Precautions (5.2)] .
- Each epinephrine injection, USP auto-injector is a single-dose epinephrine injection for single use. Since the doses of epinephrine delivered from epinephrine injection, USP auto-injector are fixed, consider using other forms of injectable epinephrine if doses lower than 0.15 mg are deemed necessary.
- With severe persistent anaphylaxis, repeat injections with an additional epinephrine injection, USP auto-injector may be necessary. More than two sequential doses of epinephrine should only be administered under direct medical supervision [see Warnings and Precautions (5.1)] .
- The epinephrine solution in the clear window of the additional epinephrine injection, USP auto-injector should be inspected visually for particulate matter and discoloration.
Discarding After Use:
The epinephrine injection, USP contains 2 mL epinephrine solution. Approximately 1.7 mL remains in the auto-injector after activation, but is not available for future use, and should be discarded .
3 Dosage Forms And Strengths
- Injection: 0.3 mg (0.3 mg/0.3 mL), clear and colorless solution in single-dose pre-filled auto-injector
- Injection: 0.15 mg (0.15 mg/0.3 mL), clear and colorless solution in single-dose pre-filled auto-injector
4 Contraindications
None
5.1 Emergency Treatment
Epinephrine injection, USP auto-injectors are intended for immediate administration as emergency supportive therapy and are not intended as a substitute for immediate medical care. In conjunction with the administration of epinephrine, the patient should seek immediate medical or hospital care. More than two sequential doses of epinephrine should only be administered under direct medical supervision [see Indications and Usage (1), Dosage and Administration (2)and Patient Counseling Information (17)] .
5.2 Injection-Related Complications
Epinephrine injection, USP auto-injector should onlybe injected into the anterolateral aspect of the thigh [ see Dosage and Administration (2)and Patient Counseling Information (17)].
Do not inject intravenously
Large doses or accidental intravenous injection of epinephrine may result in cerebral hemorrhage due to sharp rise in blood pressure. Rapidly acting vasodilators can counteract the marked pressor effects of epinephrine if there is such inadvertent administration.
Do not inject into buttock
Injection into the buttock may not provide effective treatment of anaphylaxis. Advise the patient to go immediately to the nearest emergency room for further treatment of anaphylaxis. Additionally, injection into the buttock has been associated with Clostridial infections (gas gangrene). Cleansing with alcohol does not kill bacterial spores, and therefore, does not lower this risk.
Do not inject into digits, hands or feet
Since epinephrine is a strong vasoconstrictor, accidental injection into the digits, hands or feet may result in loss of blood flow to the affected area. Advise the patient to go immediately to the nearest emergency room and to inform the healthcare provider in the emergency room of the location of the accidental injection. Treatment of such inadvertent administration should consist of vasodilation, in addition to further appropriate treatment of anaphylaxis [ see Adverse Reactions (6)].
Hold leg firmly during injection
Lacerations, bent needles, and embedded needles have been reported when epinephrine injection, USP auto-injector has been injected into the thigh of young children who are uncooperative and kick or move during an injection. To minimize the risk of injection related injury when administering, hold the child’s leg firmly in place and limit movement prior to and during injection.
5.3 Serious Infections At The Injection Site
Rare cases of serious skin and soft tissue infections, including necrotizing fasciitis and myonecrosis caused by Clostridia (gas gangrene), have been reported at the injection site following epinephrine injection for anaphylaxis. Clostridiumspores can be present on the skin and introduced into the deep tissue with subcutaneous or intramuscular injection. While cleansing with alcohol may reduce presence of bacteria on the skin, alcohol cleansing does not kill Clostridiumspores. To decrease the risk of Clostridiuminfection, do not inject epinephrine injection, USP auto-injector into the buttock [see Warnings and Precautions (5.2)]. Advise patients to seek medical care if they develop signs or symptoms of infection, such as persistent redness, warmth, swelling, or tenderness, at the epinephrine injection site.
5.4 Allergic Reactions Associated With Sulfite
The presence of a sulfite in this product should not deter administration of the drug for treatment of serious allergic or other emergency situations even if the patient is sulfite-sensitive.
Epinephrine is the preferred treatment for serious allergic reactions or other emergency situations even though this product contains sodium metabisulfite, a sulfite that may, in other products, cause allergic-type reactions including anaphylactic symptoms or life-threatening or less severe asthmatic episodes in certain susceptible persons.
The alternatives to using epinephrine in a life-threatening situation may not be satisfactory.
5.5 Disease Interactions
Some patients may be at greater risk for developing adverse reactions after epinephrine administration. Despite these concerns, it should be recognized that the presence of these conditions is not a contraindication to epinephrine administration in an acute, life-threatening situation. Therefore, patients with these conditions, and/or any other person who might be in a position to administer epinephrine injection, USP auto-injector to a patient experiencing anaphylaxis should be carefully instructed in regard to the circumstances under which epinephrine should be used.
Patients with Heart Disease
Epinephrine should be administered with caution to patients who have heart disease, including patients with cardiac arrhythmias, coronary artery or organic heart disease, or hypertension .In such patients, or in patients who are on drugs that may sensitize the heart to arrhythmias ,epinephrine may precipitate or aggravate angina pectoris as well as produce ventricular arrhythmias [ see Drug Interactions (7)and Adverse Reactions (6)].
Other Patients and Diseases
Epinephrine should be administered with caution to patients with hyperthyroidism, diabetes, elderly individuals, and pregnant women. Patients with Parkinson’s disease may notice a temporary worsening of symptoms.
6 Adverse Reactions
Due to the lack of randomized, controlled clinical trials of epinephrine for the treatment of anaphylaxis, the true incidence of adverse reactions associated with the systemic use of epinephrine is difficult to determine. Adverse reactions reported in observational trials, case reports, and studies are listed below.
Common adverse reactions to systemically administered epinephrine include anxiety; apprehensiveness; restlessness; tremor; weakness; dizziness; sweating; palpitations; pallor; nausea and vomiting; headache; and/or respiratory difficulties. These symptoms occur in some persons receiving therapeutic doses of epinephrine, but are more likely to occur in patients with hypertension or hyperthyroidism [ see Warnings and Precautions (5.5)].
Cardiovascular Reactions
- Arrhythmias, including fatal ventricular fibrillation, have been reported, particularly in patients with underlying cardiac disease or those receiving certain drugs [see Warnings and Precautions (5.5)and Drug Interactions (7)] .
- Rapid rises in blood pressure have produced cerebral hemorrhage, particularly in elderly patients with cardiovascular disease [see Warnings and Precautions (5.5)] .
- Angina may occur in patients with coronary artery disease [see Warnings and Precautions (5.5)] .
- Rare cases of stress cardiomyopathy have been reported in patients treated with epinephrine.
- Accidental injection into the digits, hands or feet may result in loss of blood flow to the affected area [see Warnings and Precautions (5.2)] .
- Adverse reactions experienced as a result of accidental injections may include increased heart rate, local reactions including injection site pallor, coldness and hypoesthesia or injury at the injection site resulting in bruising, bleeding, discoloration, erythema or skeletal injury.
- Lacerations, bent needles, and embedded needles have been reported when epinephrine injection, USP auto-injector has been injected into the thigh of young children who are uncooperative and kick or move during the injection [see Warning and Precautions (5.2)] .
- Injection into the buttock has resulted in cases of gas gangrene [see Warnings and Precautions (5.2)].
- Rare cases of serious skin and soft tissue infections, including necrotizing fasciitis and myonecrosis caused by Clostridia (gas gangrene), have been reported following epinephrine injection, including epinephrine injection, USP auto-injector, in the thigh [see Warnings and Precautions (5.3)] .
Reactions from Accidental Injection and/or Improper Technique
Skin and Soft Tissue Infections
7 Drug Interactions
Cardiac Glycosides, Diuretics, and Anti-arrhythmics
Patients who receive epinephrine while concomitantly taking cardiac glycosides, diuretics, or anti-arrhythmics should be observed carefully for the development of cardiac arrhythmias [ see Warnings and Precautions (5.5)].
Antidepressants, Monoamine Oxidase Inhibitors, Levothyroxine, and Antihistamines
The effects of epinephrine may be potentiated by tricyclic antidepressants, monoamine oxidase inhibitors, levothyroxine sodium, and certain antihistamines, notably chlorpheniramine, tripelennamine, and diphenhydramine.
Beta-Adrenergic Blockers
The cardiostimulating and bronchodilating effects of epinephrine are antagonized by beta- adrenergic blocking drugs, such as propranolol.
Alpha-Adrenergic Blockers
The vasoconstricting and hypertensive effects of epinephrine are antagonized by alpha- adrenergic blocking drugs, such as phentolamine.
Ergot Alkaloids
Ergot alkaloids may also reverse the pressor effects of epinephrine.
Risk Summary
There are no adequate and well controlled studies of the acute effect of epinephrine in pregnant women. In animal reproductive studies, epinephrine administered by the subcutaneous route to rabbits, mice, and hamsters during the period of organogenesis was teratogenic at doses 7 times and higher than the maximum recommended human intramuscular and subcutaneous dose on a mg/m 2basis. Epinephrine is the first-line medication of choice for the treatment of anaphylaxis during pregnancy in humans. Epinephrine should be used for treatment of anaphylaxis during pregnancy in the same manner as it is used in non-pregnant patients.
In the U.S. general population, the estimated background risk of major birth defects and miscarriage in clinically recognized pregnancies is 2 to 4% and 15 to 20%, respectively.
There is no information on the presence of epinephrine in human milk, the effects on breastfed infants, or the effects on milk production. Epinephrine is the first line-medication of choice for treatment of anaphylaxis; it should be used in the same manner in breastfeeding and non-breastfeeding patients.
Disease-Associated Maternal And Embryo/Fetal Risk
During pregnancy, anaphylaxis can be catastrophic and can lead to hypoxic-ischemic encephalopathy and permanent central nervous system damage or death in the mother and, more commonly, in the fetus or neonate. The prevalence of anaphylaxis occurring during pregnancy is reported to be approximately 3 cases per 100,000 deliveries.
Management of anaphylaxis during pregnancy is similar to management in the general population. Epinephrine is the first line-medication of choice for treatment of anaphylaxis; it should be used in the same manner in pregnant and non-pregnant patients. In conjunction with the administration of epinephrine, the patient should seek immediate medical or hospital care.
Animal Data
In an embryofetal development study with rabbits dosed during the period of organogenesis, epinephrine was shown to be teratogenic (including gastroschisis and embryonic lethality) at doses approximately 40 times the maximum recommended intramuscular or subcutaneous dose (on a mg/m 2basis at a maternal subcutaneous dose of 1.2 mg/kg/day for two to three days).
In an embryofetal development study with mice dosed during the period of organogenesis, epinephrine was shown to be teratogenic (including embryonic lethality) at doses approximately 8 times the maximum recommended intramuscular or subcutaneous dose (on a mg/m 2basis at maternal subcutaneous dose of 1 mg/kg/day for 10 days). These effects were not seen in mice at approximately 4 times the maximum recommended daily intramuscular or subcutaneous dose (on a mg/m 2basis at a subcutaneous maternal dose of 0.5 mg/kg/day for 10 days).
In an embryofetal development study with hamsters dosed during the period of organogenesis from gestation days 7 to 10, epinephrine was shown to be teratogenic at doses approximately 7 times the maximum recommended intramuscular or subcutaneous dose (on a mg/m 2basis at a maternal subcutaneous dose of 0.5 mg/kg/day).
8.4 Pediatric Use
Epinephrine injection, USP auto-injector may be administered to pediatric patients at a dosage appropriate to body weight [ seeDosage and Administration (2.1)] .Clinical experience with the use of epinephrine suggests that the adverse reactions seen in children are similar in nature and extent to those both expected and reported in adults. Since the doses of epinephrine delivered from epinephrine injection, USP auto-injectors are fixed, consider using other forms of injectable epinephrine if doses lower than 0.15 mg are deemed necessary.
8.5 Geriatric Use
Clinical studies for the treatment of anaphylaxis have not been performed in subjects aged 65 and over to determine whether they respond differently from younger subjects. However, other reported clinical experience with use of epinephrine for the treatment of anaphylaxis has identified that geriatric patients may be particularly sensitive to the effects of epinephrine. Therefore, epinephrine injection, USP auto-injector should be administered with caution in elderly individuals, who may be at greater risk for developing adverse reactions after epinephrine administration [ see Warnings and Precautions (5.5), Overdosage (10)].
10 Overdosage
Overdosage of epinephrine may produce extremely elevated arterial pressure, which may result in cerebrovascular hemorrhage, particularly in elderly patients. Overdosage may also result in pulmonary edema because of peripheral vascular constriction together with cardiac stimulation. Treatment consists of rapidly acting vasodilators or alpha-adrenergic blocking drugs and/or respiratory support.
Epinephrine overdosage can also cause transient bradycardia followed by tachycardia, and these may be accompanied by potentially fatal cardiac arrhythmias. Premature ventricular contractions may appear within one minute after injection and may be followed by multifocal ventricular tachycardia (prefibrillation rhythm). Subsidence of the ventricular effects may be followed by atrial tachycardia and occasionally by atrioventricular block. Treatment of arrhythmias consists of administration of a beta-adrenergic blocking drug such as propranolol.
Overdosage sometimes results in extreme pallor and coldness of the skin, metabolic acidosis, and kidney failure. Suitable corrective measures must be taken in such situations.
11 Description
Epinephrine injection, USP auto-injectors, 0.3 mg and 0.15 mg, are single-dose auto-injectors and combination products containing drug and device components.
Each epinephrine injection, USP auto-injector, 0.3 mg delivers a single dose of 0.3 mg epinephrine from epinephrine injection, USP 0.3 mg/0.3 mL in a sterile solution.
Each epinephrine injection, USP auto-injector, 0.15 mg delivers a single dose of 0.15 mg epinephrine from epinephrine injection, USP 0.15 mg/0.3 mL in a sterile solution.
Each 0.3 mL in the epinephrine injection, USP auto-injector, 0.3 mg contains 0.3 mg epinephrine, 1.8 mg sodium chloride, 0.5 mg sodium metabisulfite, hydrochloric acid to adjust pH, and Water for Injection. The pH range is 2.2-5.0.
Each 0.3 mL in the epinephrine injection, USP auto-injector, 0.15 mg contains 0.15 mg epinephrine, 1.8 mg sodium chloride, 0.5 mg sodium metabisulfite, hydrochloric acid to adjust pH, and Water for Injection. The pH range is 2.2-5.0.
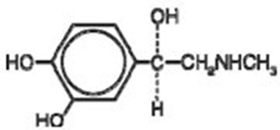
Epinephrine is a sympathomimetic catecholamine. Chemically, epinephrine is (-)-3,4- Dihydroxy-α-[(methylamino)methyl]benzyl alcohol with the following structure:
Epinephrine solution deteriorates rapidly on exposure to air or light, turning pink from oxidation to adrenochrome and brown from the formation of melanin. Replace epinephrine injection, USP auto-injector if the epinephrine solution appears discolored (pinkish or brown color), cloudy, or contains particles.
Thoroughly review the patient instructions and operation of epinephrine injection, USP auto-injector with patients and caregivers prior to use [ see Patient Counseling Information (17)].
12.1 Mechanism Of Action
Epinephrine acts on both alpha- and beta-adrenergic receptors.
12.2 Pharmacodynamics
Through its action on alpha-adrenergic receptors, epinephrine lessens the vasodilation and increased vascular permeability that occurs during anaphylaxis, which can lead to loss of intravascular fluid volume and hypotension.
Through its action on beta-adrenergic receptors, epinephrine causes bronchial smooth muscle relaxation and helps alleviate bronchospasm, wheezing and dyspnea that may occur during anaphylaxis.
Epinephrine also alleviates pruritus, urticaria, and angioedema and may relieve gastrointestinal and genitourinary symptoms associated with anaphylaxis because of its relaxer effects on the smooth muscle of the stomach, intestine, uterus and urinary bladder.
When given subcutaneously or intramuscularly, epinephrine has a rapid onset and short duration of action.
13.1 Carcinogenesis, Mutagenesis, Impairment Of Fertility
Long-term studies to evaluate the carcinogenic potential of epinephrine have not been conducted.
Epinephrine and other catecholamines have been shown to have mutagenic potential in vitro. Epinephrine was positive in the Salmonellabacterial reverse mutation assay, positive in the mouse lymphoma assay, and negative in the in vivomicronucleus assay. Epinephrine is an oxidative mutagen based on the E. coliWP2 Mutoxitest bacterial reverse mutation assay. This should not prevent the use of epinephrine where indicated [see Indications and Usage (1)].
The potential for epinephrine to impair reproductive performance has not been evaluated, but epinephrine has been shown to decrease implantation in female rabbits dosed subcutaneously with 1.2 mg/kg/day (40-fold the highest human intramuscular or subcutaneous daily dose) during gestation days 3 to 9.
16 How Supplied/Storage And Handling
How Supplied
- Epinephrine Injection, USP Auto-Injectors, 0.3 mg 2-Pak is supplied with 2 single-dose pre-filled auto-injectors and 1 auto-injector trainer device: 0.3 mg/0.3 mL (NDC 49502-102-02)
- Epinephrine Injection, USP Auto-Injectors, 0.15 mg 2-Pak is supplied with 2 single-dose pre-filled auto-injectors and 1 auto-injector trainer device: 0.15 mg/0.3 mL (NDC 49502-101-02)
- Protect from light. Epinephrine is light sensitive and should be stored in the carrier tube provided to protect it from light.
- Store at 20°C to 25°C (68°F to 77°F); excursions permitted to 15°C to 30°C (59°F to 86°F) [See USP Controlled Room Temperature].
- Do not refrigerate.
- Before using, check to make sure the solution in the auto-injector is clear and colorless.
- Replace the auto-injector if the solution is discolored (pinkish or brown color), cloudy, or contains particle.
- Properly dispose all used, unwanted or expired epinephrine injection, USP auto-injectors.
Epinephrine Injection, USP Auto-Injectors also include an S-clip to clip two carrier tubes together.
Storage and Handling
17 Patient Counseling Information
See FDA-Approved Patient Labeling ( Patient Information and Instructions for Use).
A healthcare provider should review the patient instructions and operation of epinephrine injection, USP auto-injector in detail, with the patient or caregiver.
Epinephrine is essential for the treatment of anaphylaxis. Patients who are at risk of or with a history of severe allergic reactions (anaphylaxis) to insect stings or bites, foods, drugs, and other allergens, as well as idiopathic and exercise-induced anaphylaxis, should be carefully instructed about the circumstances under which epinephrine should be used.
Administration
Instruct patients and/or caregivers in the appropriate use of epinephrine injection, USP auto-injector. Epinephrine injection, USP auto-injector should be injected into the middle of the outer thigh (through clothing, if necessary). Each device is a single-use injection. Advise patients to seek immediate medical care in conjunction with administration of epinephrine injection, USP auto-injectors.
Instruct caregivers to hold the leg of young children firmly in place and limit movement prior to and during injection. Lacerations, bent needles, and embedded needles have been reported when epinephrine injection, USP auto-injector has been injected into the thigh of young children who are uncooperative and kick or move during an injection [ see Warnings and Precautions (5.2)].
Instruct patients and/or caregivers to throw away the blue safety release immediately after using epinephrine injection, USP auto-injector. This small part may pose a choking hazard for children.
Complete patient information, including dosage, directions for proper administration and precautions can be found inside each epinephrine injection, USP auto-injector carton. A printed label on the surface of epinephrine injection, USP auto-injector shows instructions for use and a diagram depicting the injection process.
Training
Instruct patients and/or caregivers to use and practice with the Trainer to familiarize themselves with the use of epinephrine injection, USP auto-injector in an allergic emergency. The Trainer may be used multiple times. A Trainer device is provided in epinephrine injection, USP auto-injector cartons.
Instruct patients and/or caregivers to immediately place the blue safety release back on the Trainer and reset it after practicing. This small part may pose a choking hazard for children.
Adverse Reactions
Epinephrine may produce symptoms and signs that include an increase in heart rate, the sensation of a more forceful heartbeat, palpitations, sweating, nausea and vomiting, difficulty breathing, pallor, dizziness, weakness or shakiness, headache, apprehension, nervousness, or anxiety. These signs and symptoms usually subside rapidly, especially with rest, quiet and recumbency. Patients with hypertension or hyperthyroidism may develop more severe or persistent effects, and patients with coronary artery disease could experience angina. Patients with diabetes may develop increased blood glucose levels following epinephrine administration. Patients with Parkinson’s disease may notice a temporary worsening of symptoms [ see Warnings and Precautions (5.5)] .
Accidental Injection
Advise patients to seek immediate medical care in the case of accidental injection. Since epinephrine is a strong vasoconstrictor when injected into the digits, hands, or feet, treatment should be directed at vasodilatation if there is such an accidental injection to these areas [ see Warnings and Precautions (5.2)].
Serious Infections at the Injection Site
Rare cases of serious skin and soft tissue infections, including necrotizing fasciitis and myonecrosis caused by Clostridia (gas gangrene), have been reported at the injection site following epinephrine injection for anaphylaxis. Advise patients to seek medical care if they develop signs or symptoms of infection, such as persistent redness, warmth, swelling, or tenderness, at the epinephrine injection site [ see Warnings and Precautions (5.3)].
Storage and Handling
Instruct patients to inspect the epinephrine solution visually through the clear window of the auto-injector periodically. Replace epinephrine injection, USP auto-injector if the epinephrine solution appears discolored (pinkish or brown color), cloudy, or contains particles. Epinephrine is light sensitive and should be stored in the carrier tube provided to protect it from light. The carrier tube is not waterproof. Instruct patients that epinephrine injection, USP auto-injector must be used or properly disposed once the blue safety release is removed or after use [ see Storage and Handling (16)].
Advise patients and caregivers to give used epinephrine injection, USP auto-injectors to their healthcare provider for inspection and proper disposal.
Advise patients and caregivers to promptly dispose of medicines that are no longer needed. Dispose of expired, unwanted, or unused epinephrine injection, USP auto-injectors in an FDA-cleared sharps container. Instruct patients not to dispose epinephrine injection, USP auto-injectors in their household trash. Instruct patients that if they do not have a FDA-cleared sharps disposal container, they may use a household container that is made of a heavy-duty plastic, can be closed with a tight-fitting and puncture-resistant lid without sharps being able to come out, upright and stable during use, leak-resistant, and properly labeled to warn of hazardous waste inside the container. Inform patients that they can visit the FDA website for additional information on disposal of unused medicines.
Complete patient information, including dosage, directions for proper administration and precautions can be found inside each epinephrine injection, USP auto-injector carton.
Manufactured for Mylan Specialty L.P., Morgantown, WV 26505, U.S.A. by Meridian Medical Technologies, LLC, St. Louis, MO 63146, U.S.A.
Copyright © 2022 Meridian Medical Technologies. All rights reserved.
Revised: 02/2023
MS:EPIG:R7
0002200
Patient Information And Instructions For Use
Epinephrine Injection [/eh-puh-neh-fruhn/], USP Auto-Injector 0.3 mg
one dose of 0.3 mg epinephrine, USP 0.3 mg/0.3 mL
Epinephrine Injection [/eh-puh-neh-fruhn/], USP Auto-Injector 0.15 mg
one dose of 0.15 mg epinephrine, USP 0.15 mg/0.3 mL
Authorized generic for EpiPen® and EpiPen Jr® Auto-Injectors
For allergic emergencies (anaphylaxis)
Patient Information
Read this Patient Information leaflet carefully before using the epinephrine injection, USP auto-injector and each time you get a refill. There may be new information. Anyone who may be able to administer the epinephrine injection, USP auto-injector, should know how to use it before you have an allergic emergency.
This information does not take the place of talking with your healthcare provider about your medical condition or your treatment.
What is the most important information I should know about Epinephrine Injection, USP Auto-Injector?
- Epinephrine injection, USP auto-injector is a single-dose automatic injection devices (auto-injectors) that contains epinephrine. Epinephrine is a medicine used to treat allergic emergencies (anaphylaxis). Anaphylaxis can be life threatening and, can happen within minutes. If untreated, anaphylaxis can lead to death. This allergic emergency can be caused by stinging and biting insects, allergy injections, foods, medicines, exercise, or unknown causes.
- trouble breathing
- wheezing
- hoarseness (changes in the way your voice sounds)
- hives (raised reddened rash that may itch)
- severe itching
- swelling of your face, lips, mouth, or tongue
- skin rash, redness, or swelling
- fast heartbeat
- weak pulse
- feeling very anxious
- confusion
- stomach pain
- losing control of urine or bowel movements (incontinence)
- diarrhea or stomach cramps
- dizziness, fainting, or “passing out” (unconsciousness)
- Always carry 2 epinephrine injection, USP auto-injectorswith you because sometimes a single dose of epinephrine may not be enough to treat a serious allergic reaction before seeking medical care. You also need to always carry 2 auto-injectors with you if the first auto-injector is activated before the dose can be given. A device that has been activated by accident cannot be used in an allergic emergency (anaphylaxis).
- Note: The epinephrine injection, USP auto-injector has been activated when the blue safety top is removed and a “pop” is heard, the orange needle end of the auto-injector is extended, or the medicine viewing window is blocked.
- You may not know when anaphylaxis will happen. Talk to your healthcare provider if you need more auto-injectors to keep at work, school, or other locations. If you use 1 epinephrine injection, USP auto-injector to treat an emergency allergic reaction, be sure to replace it so you always carry 2 auto-injectors. Tell your family members, caregivers, and others where you keep your epinephrine injection, USP auto-injectors. Make sure they know how to use it before you need it. You may be unable to speak in an allergic emergency.
- When you have an allergic emergency (anaphylaxis) use epinephrine injection, USP auto-injector right away.
- Get emergency medical help right away even if you have used the epinephrine injection, USP auto-injector. You can use a second epinephrine injection, USP auto-injector if symptoms continue or come back or if the first auto-injector is activated before the dose can be given. For this reason, you should carry 2 epinephrine injection, USP auto-injectors with you at all times. If you need more than 2 doses for an allergic emergency, they must be given by a healthcare provider.
- Epinephrine injection, USP auto-injectors are disposable, prefilled auto-injectors used to treat life-threatening, allergic emergencies in people who are at risk for or have a history of serious allergic emergencies. Each device contains one dose of epinephrine.
- Epinephrine injection, USP auto-injectors are for immediate administration by you or your caregiver. They do not take the place of emergency medical care. You should get emergency help right away after using your epinephrine injection, USP auto-injector.
- Epinephrine injection, USP auto-injectors are for people who have been prescribed this medicine by their healthcare provider.
- The epinephrine injection, USP auto-injector (0.3 mg) is for people who weigh 66 pounds or more (30 kilograms or more).
- The epinephrine injection, USP auto-injector (0.15 mg) is for people who weigh about 33 to 66 pounds (15 to 30 kilograms).
- It is not known if epinephrine injection, USP auto-injector is safe and effective in children who weigh less than 33 pounds (15 kilograms).
- heart problems or high blood pressure
- diabetes
- thyroid problems
- asthma
- a history of depression
- Parkinson’s disease
- are pregnant or plan to become pregnant. It is not known if epinephrine will harm your unborn baby.
- are breastfeeding or plan to breastfeed. It is not known if epinephrine passes into your breast milk.
- Use your single-dose epinephrine injection, USP auto-injector exactly as your healthcare provider tells you to use it. You may need to use a second epinephrine injection, USP auto-injector if symptoms continue or come back while you wait for emergency help or if the first auto-injector is activated before the dose can be given. If you need more than 2 doses of epinephrine for a single anaphylaxis episode, more doses must be administered by a healthcare provider.
- Epinephrine injection, USP auto-injector should be injected into the middle of your outer thigh (upper leg). It can be injected through your clothing if needed. Do notinject into a vein or into the buttocks, fingers, toes, hands or feet.
- Read and make sure you understand the Instructions for Use at the end of this Patient Information leaflet to learn the right way to use the epinephrine injection, USP auto-injector.
- Your healthcare provider will show you how to safely use the epinephrine injection, USP auto-injector.
- It is very important that you hold the epinephrine injection, USP auto-injector down firmly on the middle of the outer thigh (upper leg) for at least 3 full seconds. If you do not hold it in place long enough, the epinephrine injection, USP auto-injector might not have time to deliver the correct dose of medicine.
- Caution: Never put your thumb, fingers or hand over the orange needle end.Never press or push the orange needle end with your thumb, fingers or hand. The needle comes out of the orange needle end. Accidental injection into fingers, hands or feet may cause a loss of blood flow to these areas. If an accidental injection happens, go immediately to the nearest emergency room.
- Warning: Do notflip the blue safety top off using a thumb or by pulling it sideways, or by bending and twisting the blue safety top. This may cause the device to activate by accident: a “pop” is heard, the orange needle end is extended and the medicine viewing window is blocked. A device that has been activated by accident cannot be used in an emergency.If this happens, replace it with a new epinephrine injection, USP auto-injector.
- When you are ready to inject, pull the blue safety top straight up and away from the auto-injector.
- Your epinephrine injection, USP auto-injector may come in a package with a gray trainer and separate Trainer Instructions for Use. The gray trainer contains no medicine and no needle. Keep the trainer and the real epinephrine injection, USP auto-injector away from young children. The real epinephrine injection, USP auto-injector and trainer are not toys. For young children, use of the trainer and the real epinephrine injection, USP auto-injector should be supervised by an adult. Regularly practice with your gray trainer in non-emergency situations to make sure you can safely use the real epinephrine injection, USP auto-injector in an emergency. Always carry your 2 real epinephrine injection, USP auto-injectors with you in case of an allergic emergency. Additional training information is available at www.epipen.com.
- Do not drop the protective case or epinephrine injection, USP auto-injector. If the protective case or auto-injector is dropped, check for damage and leakage. If damage or leakage is noticed or suspected, throw away (dispose of) the epinephrine injection, USP auto-injector and protective case and replace it.
- Epinephrine injection, USP auto-injector should only be injected into the middle of your outer thigh (upper leg). Do not inject the epinephrine injection, USP auto-injector into your:
- veins
- buttocks
- fingers, toes, hands or feet
If you accidentally inject epinephrine injection, USP auto-injector into any place other than the middle of your outer thigh, go to the nearest emergency room right away. Tell the healthcare provider where on your body you received the accidental injection.
- Rarely, people who have used the epinephrine injection, USP auto-injector may get infections at the injection site within a few days of an injection. Some of these infections can be serious. Call your healthcare provider right away if you see any of the following at an injection site:
- redness that does not go away
- swelling
- tenderness
- the area feels warm to the touch
- Cuts on the skin, bent needles and needles that remain in the skin after the injection can happen when young children kick or move during an injection. If you inject a young child with an epinephrine injection, USP auto-injector, hold their leg firmly in place before and during the 3 second injection to prevent injuries. Follow the Instructions for Use at the end of this Patient Information leaflet. Ask your healthcare provider to show you how to:
- Hold the young child firmly in place (restrain).
- With one hand, grip the auto-injector with the orange needle end pointing down.
- With the other hand, pull the blue safety top straight up and away from the auto-injector.
- If you have certain medical conditions, or take certain medicines, your condition may get worse or you may have longer lasting side effects when you use your epinephrine injection, USP auto-injector. Talk to your healthcare provider about all your medical conditions.
- fast, irregular or “pounding” heartbeat
- sweating
- headache
- weakness
- shakiness
- paleness
- feelings of over excitement, nervousness or anxiety
- dizziness
- nausea or vomiting
- breathing problems
- Store epinephrine injection, USP auto-injectors at room temperature between 68°F to 77°F (20°C to 25°C).
- Keep this medicine out of the sight and reach of young children.
- Keep protective case in the outer carton to protect from light. When exposed to air or light epinephrine changes quickly to a pinkish or brown color and should not be used.
- Do not expose to extreme cold or heat. For example, do not store in your vehicle’s glove box or trunk. Do not store in the refrigerator or freezer.
- Examine the contents in the medicine viewing window of your epinephrine injection, USP auto-injector regularly. The medicine should be clear. If the medicine is discolored (pinkish or brown color) or contains solid particles, replace the auto-injector.
- Always keep your 2 epinephrine injection, USP auto-injectors in the protective cases to prevent damage to the device. The protective case is not waterproof.
- The blue safety top helps to prevent accidental injection. Keep the blue safety top in place until you need to use the epinephrine injection, USP auto-injector. After the auto-injector is used, throw away the blue safety top as this may pose a choking hazard for small children.
- Made of heavy-duty plastic,
- Can be closed with a tight-fitting, puncture-resistant lid, without sharps being able to come out,
- Upright and stable during use,
- Leak-resistant, and
- Properly labeled to warn of hazardous waste inside the container.
- The epinephrine injection, USP auto-injector, 0.3 mg has a yellow colored label.
- The epinephrine injection, USP auto-injector, 0.15 mg has a green colored label.
- Your epinephrine injection, USP auto-injector is designed to work through clothing.
- When receiving an epinephrine injection, USP auto-injector and before you need to use the epinephrine injection, USP auto-injector, remove the auto-injector from the protective case and check the auto-injector to make sure the blue safety top is not raised (see Figure Din the Instructions for Use). If the blue safety top is raised, the auto-injector should notbe used because the device could activate by accident. Do nottry to push the blue safety top back down. Put the auto-injector back in the protective case and replace it with a new epinephrine injection, USP auto-injector.
- Choking hazard:The blue safety top is a small part that may become a choking hazard for children. Throw away the blue safety top immediately after using epinephrine injection, USP auto-injector.
- It is very important that you hold the epinephrine injection, USP auto-injector down firmly on the middle of the outer thigh (upper leg) for at least 3 full seconds. If you do not hold it in place long enough, the epinephrine injection, USP auto-injector might not deliver the correct dose of medicine.
- If an accidental injection happens, get emergency medical help right away.
- Do not place patient information or any other foreign objects in the protective case with the epinephrine injection, USP auto-injector, as this may prevent you from removing the auto-injector for use.
- Each epinephrine injection, USP auto-injector can be used only 1 time (single-use). The auto-injectors deliver a fixed dose of epinephrine and cannot be reused. Do not try to reuse epinephrine injection, USP auto-injector after the device has been activated. It is normal for most of the medicine to remain in the auto-injector after the dose is injected. The correct dose has been administered if the orange needle end is extended to cover the needle and the medicine viewing window is blocked.
- Incorrect Use and Correct Use of Epinephrine Injection, USP Auto-Injector
Symptoms of anaphylaxis may include:
What are epinephrine injection, USP auto-injectors?
What should I tell my healthcare provider before using epinephrine injection, USP auto-injector?
Before you use your epinephrine injection, USP auto-injector, tell your healthcare provider about all your medical conditions. Your healthcare provider may give you more instructions about when and how to use epinephrine injection, USP auto-injector if you have the following:
You may also receive more instructions if you:
Tell your healthcare provider about all the medicines you take,including prescription and over-the-counter medicines, vitamins and herbal supplements. Tell your healthcare provider about all of your known allergies.
Especially tell your healthcare provider if you take certain asthma medicines.
Epinephrine injection, USP auto-injector and other medicines may affect each other, causing side effects. Epinephrine injection, USP auto-injector may affect the way other medicines work. Other medicines may affect how epinephrine injection, USP auto-injector works.
Know the medicines you take. Keep a list of all your medicines, including over-the-counter medicines, vitamins and herbal supplements to show your healthcare provider and pharmacist when you get a new medicine.
Use your epinephrine injection, USP auto-injector for treatment of anaphylaxis as prescribed by your healthcare provider, regardless of your medical conditions or the medicines you take.
How should I use the epinephrine injection, USP auto-injector?
What are the possible side effects of epinephrine injection, USP auto-injectors?
Epinephrine injection, USP auto-injectors may cause serious side effects.
Common side effects of epinephrine injection, USP auto-injectors include:
These side effects may go away with rest. Tell your healthcare provider if you have any side effect that bothers you or that does not go away.
These are not all the possible side effects of the epinephrine injection, USP auto-injector. For more information, ask your healthcare provider or pharmacist.
Call your doctor for medical advice about side effects. You may report side effects to FDA at 1-800-FDA-1088.
How should I store epinephrine injection, USP auto-injectors?
Disposing of an Expired, Unused or Used Epinephrine Injection, USP Auto-Injector
Your epinephrine injection, USP auto-injector has an expiration date. Replace the pack of auto-injectors before the expiration date. Throw away (dispose of) expired, unwanted, or unused epinephrine injection, USP auto-injectors in an FDA-cleared sharps disposal container right away after use. Do not throw away the epinephrine injection, USP auto-injectors in your household trash. If you do not have an FDA-cleared sharps disposal container, you may use a household container that is:
When your sharps disposal container is almost full, you will need to follow your community guidelines for the right way to dispose of your sharps disposal container. There may be state or local laws about how you should throw away used needles and syringes. For more information about safe sharps disposal, and for specific information about sharps disposal in the state that you live in, go to the FDA’s website at: http://www.fda.gov/safesharpsdisposal
Visit the FDA’s website (https://www.fda.gov/drugs/safe-disposal-medicines/disposal-unused-medicines-what-you-should-know) for more information about how to throw away unused, unwanted or expired medicines.
After using your epinephrine injection, USP auto-injector in an allergic emergency, get emergency medical help right away. Take your used epinephrine injection, USP auto-injector with you to give to your healthcare provider for disposal.
General information about the safe and effective use of epinephrine injection, USP auto-injectors.
Medicines are sometimes prescribed for purposes other than those listed in a Patient Information leaflet. Do not use the epinephrine injection, USP auto-injector for a condition for which it was not prescribed. Do not give your epinephrine injection, USP auto-injector to other people.
This Patient Information leaflet summarizes the most important information about the epinephrine injection, USP auto-injectors. If you would like more information, talk to your healthcare provider. You can ask your pharmacist or healthcare provider for information about epinephrine injection, USP auto-injectors that is written for health professionals.
What are the ingredients in epinephrine injection, USP auto-injectors?
Active Ingredients: epinephrine
Inactive Ingredients: sodium chloride, sodium metabisulfite, hydrochloric acid, and water
Important Information
Incorrect Use | Correct Use and
|
Storage outside the protective case or storage of the epinephrine injection, USP auto-injector in extreme cold or heat. | Always keep your epinephrine injection, USP auto-injector stored in the protective case and at room temperature. Keep protective case in the outer carton to protect from light. Wrong storage may stop the epinephrine injection, USP auto-injector from working. If the device has been in extreme cold or heat, the epinephrine injection, USP auto-injector should be replaced. |
Failing to remove the auto-injector from the protective case before use. | The epinephrine injection, USP auto-injector must be removed from the protective case it comes in before use. |
Failing to remove the blue safety top before use. | Remove the blue safety top before use. Epinephrine injection, USP auto-injector will not activate with the blue safety top in place. |
Activating the auto-injector upside down which will cause an injection into the hand. | The needle exits from the orange end of the epinephrine injection, USP auto-injector, which should be in contact with the outer thigh (upper leg) at a 90˚ angle (perpendicular) to the thigh before and during activation. The orange needle end will extend to cover the needle after activation. If you can still see the needle, do not try to reuse the auto-injector. |
Failing to apply enough force to activate the epinephrine injection, USP auto-injector. | Epinephrine injection, USP auto-injector should be administered by swinging and pushing the auto-injector firmly against the outer thigh. Epinephrine injection, USP auto-injectors make a distinct pop sound when pushed against the thigh. The pop sound signals that the injection has started. The correct dose has been administered if the orange needle end is extended and the window is blocked. |
Administering at an injection site other than the outer thigh. | Administer epinephrine injection, USP auto-injector in the outer thigh only. |
Failing to hold the auto-injector in place for a full 3 seconds. | Hold the epinephrine injection, USP auto-injector in place for a full 3 seconds following activation (count slowly 1, 2, 3). |
For more information and video instructions on the use of epinephrine injection, USP auto-injectors, go to www.epipen.comor call 1-800-395-3376.
Instructions For Use
Epinephrine Injection [/eh-puh-neh-fruhn/],
USP Auto-Injector 0.3 mg
one dose of 0.3 mg epinephrine, USP 0.3 mg/0.3 mL
for intramuscular and subcutaneous use
Epinephrine Injection [/eh-puh-neh-fruhn/],
USP Auto-Injector 0.15 mg
one dose of 0.15 mg epinephrine, USP 0.15 mg/0.3 mL
for intramuscular and subcutaneous use
This Instructions for Use contains information on how to administer the epinephrine injection, USP auto-injector.
Important Information You Need to Know Before Administering the Epinephrine Injection, USP Auto-Injector
- The single-dose epinephrine injection, USP auto-injector is for allergic emergency (anaphylaxis) and should be used right away.You can use a second epinephrine injection, USP auto-injector if symptoms continue or symptoms come back.
- Before you need to use your epinephrine injection, USP auto-injector, make sure your healthcare provider shows you the right way to use it. Anyone who may be able to administer the epinephrine injection, USP auto-injector should also understand how to use it.
- Carefully read the Instructions for Use in a non-emergency situation and make sure you understand them before using your epinephrine injection, USP auto-injector.
- If you have any questions, ask your healthcare provider.
- It is very important that you hold the epinephrine injection, USP auto-injector down for at least 3 full seconds. If you do not hold it in place long enough, the epinephrine injection, USP auto-injector might not have time to deliver the correct dose of medicine.
- Make sure to always carry 2 epinephrine injection, USP auto-injectors. One dose may not be enough.
- Inject epinephrine injection, USP auto-injector into the muscle (intramuscular) or under the skin (subcutaneous) in the middle of the outer thigh (see Figure B). Do not inject epinephrine injection, USP auto-injector into any other part of the body.
- The injection can be given through clothes.
- Each epinephrine injection, USP auto-injector can be used only 1 time (single-use). It is normal for most of the medicine to remain in the auto-injector after the dose is injected. The correct dose has been administered if the orange needle end is extended to cover the needle and the medicine viewing window is blocked.
- Warning:Do notflip the blue safety top off using a thumb or by pulling it sideways, or by bending and twisting the blue safety top. This may cause the device to activate by accident: a “pop” is heard, the orange needle end is extended and the medicine viewing window is blocked. A device that has been activated by accident cannot be used in an emergency. If this happens, replace it with a new epinephrine injection, USP auto-injector.
- Do not take the epinephrine injection, USP auto-injector apart.
- Keep the blue safety top in place until you are ready to inject.
- Always point the orange needle end down (see Figure C). Keep your fingers, thumb and hand away from the orange needle end. Accidental injection in the fingers, thumb or feet may cause loss of blood flow to these areas.
- Remove the epinephrine injection, USP auto-injector from the protective case and check the auto-injector to make sure the blue safety top is not raised (see Figure D). If the blue safety top is not raised, the auto-injector is okay to use. Put the auto-injector back in the protective case so that it is ready to be used in an allergic emergency.
- If the blue safety top is raised(see Figure E), the auto-injector should not be usedbecause the device could activate by accident. Do nottry to push the blue safety top back down. Put the auto-injector back in the protective case and replace it with a new epinephrine injection, USP auto-injector.
- Remove anything in or around the injection site that blocks you from giving the injection.
- Check the auto-injector before use. If the auto-injector appears damaged, throw it away (dispose of) and do not use.
- The gray trainer contains no medicine and no needle. Practice with the gray trainer before an allergic emergency happens to make sure you can safely use the real epinephrine injection, USP auto-injector in an emergency.
- Keep the trainer and the real epinephrine injection, USP auto-injectors away from young children. The epinephrine injection, USP auto-injectors and trainer are not toys. Use by young children should be supervised by an adult.
- While preparing to inject, make sure you know where to inject (see Figure B) and how to hold the epinephrine injection, USP auto-injector (see Figure C).
- Epinephrine injection, USP auto-injectors have a Never-See-Needle® that covers the needle before and after you inject (see Figure G). You should never see a needle. If you can see a needle, do not use the epinephrine injection, USP auto-injector.
- the orange needle end will be extended (see Step 4),
- the medicine viewing window will be blocked, and
- the epinephrine injection, USP auto-injector will no longer fit in the protective case.
- If you are giving epinephrine injection, USP auto-injector to a young child, first hold the child firmly in place (restrain) and then use both hands to remove the blue safety top as shown (see Figure J). Use one hand to hold the auto-injector with the orange needle end pointing down and your other hand to remove the blue safety top to activate the auto-injector. Then, inject in the middle of the outer thigh (see Figure L). Remember to hold the leg firmly in place before and during the 3 second injection to avoid needlestick injuries including cuts to the thigh.
- Keep the trainer and the real epinephrine injection, USP auto-injectors away from young children. The real epinephrine injection, USP auto-injectors and trainer are not toys. Use by young children should be supervised by an adult.
- The medicine can be seen through the medicine viewing window located near the middle of the epinephrine injection, USP auto-injector.
- To check the medicine color, hold the auto-injector in front of a white background in a well-lit area and look through the medicine viewing window.
- Use the medicine if it is clear and colorless.
- Take your used epinephrine injection, USP auto-injector to your healthcare provider.
- Epinephrine injection, USP auto-injectors are single-dose auto-injectors and cannot be reused.
- If the needle is visible, do not try to reuse it.
Checking the Blue Safety Top
When receiving an epinephrine injection, USP auto-injector and before you need to use the epinephrine injection, USP auto-injector, do the following:
Preparing to Inject Epinephrine Injection, USP Auto-Injector
Note the following while preparing to inject epinephrine injection, USP auto-injector:
Make sure the epinephrine injection, USP auto-injector has not been used. If an epinephrine injection, USP auto-injector has been used:
Preparing to Inject a Child
Checking the Medicine Color
Examine the liquid in the medicine viewing window of your epinephrine injection, USP auto-injector regularly. See the information below:
Medicine Color: |
Figure H. Medicine Viewing Window
Do not use the medicine if it is discolored (pinkish or brown color) or if the medicine has particles floating in it. Throw it away (dispose of) and use a new epinephrine injection, USP auto-injector (see the section “Disposing of an Expired, Unused or Used Epinephrine Injection, USP Auto-Injector”on the Patient Information side of this leaflet).
Injecting Epinephrine Injection, USP Auto-Injector
Step 1 Slide the epinephrine injection, USP auto-injector out of the case (Figure I) Remove the auto-injector from the protective case. | |
Step 2 Pull off the blue safety top (Figure J) Grip the epinephrine injection, USP auto-injector with one hand and with the orange needle end pointing down. Use the other hand to remove the blue safety top. Pull it straight up and away. Note:Do not twist or bend the blue safety top. Failure to pull out the blue safety top correctly (straight up and away) can cause accidental activation. Note:To avoid an accidental injection, never put your thumb, fingers or hand over the orange needle end. If an accidental injection happens, get emergency medical help right away. | |
Step 3 Inject the medicine by self (Figure K) or caregiver (Figure L) administration Place the orange needle end against the outer thigh, through clothing if needed. Push down firmly and hold in place for 3 seconds. Note:Epinephrine injection, USP auto-injectors make a distinct pop sound when pushed against the thigh. This is normal and means that the epinephrine injection, USP auto-injector is working. After the pop, continue to press the epinephrine injection, USP auto-injector down firmly on the outer thigh for 3 seconds to make sure that the medicine is given. | |
Step 4 Check if used
Lift the auto-injector straight out from the thigh. The orange needle end will extend to cover the needle. If the needle is visible, do not reuse it. Use a new auto-injector. Throw away the blue safety top. | |
Step 5 Get emergency medical help After injecting epinephrine injection, USP auto-injector, get emergency medical help right away. You can use a second epinephrine injection, USP auto-injector if symptoms continue or come back. | |
Storing Epinephrine Injection, USP Auto-Injector
Store the epinephrine injection, USP auto-injectors at room temperature between 68˚ F to 77˚ F (20˚ C to 25˚ C).
Keep protective case in the outer carton to protect from light. When exposed to air or light, the medicine in the epinephrine injection, USP auto-injector changes rapidly to a pinkish or brown color and should not be used.
Disposing of Epinephrine Injection, USP Auto-Injector
After using your epinephrine injection, USP auto-injector, get emergency medical help right away. Take your used auto-injector with you to give to your healthcare provider for disposal.
Important:The blue safety top is a small part that may become a choking hazard for children. Throw away the blue safety top immediately after using the epinephrine injection, USP auto-injector.
Your epinephrine injection, USP auto-injector has an expiration date. Replace it before the expiration date.
For more information on how to throw away (dispose of) your expired epinephrine injection, USP auto-injector, see the section “Disposing of an Expired, Unused or Used Epinephrine Injection, USP Auto-Injector”on the Patient Information side of this leaflet.
Manufactured for:
Mylan Specialty L.P., Morgantown, WV 26505, U.S.A. by Meridian Medical Technologies, LLC, St. Louis, MO 63146, U.S.A.
EpiPen® or EpiPen Jr® are registered trademarks of Mylan Inc., a Viatris Company.
Copyright © 2022 Meridian Medical Technologies. All rights reserved.
MS:PIL:EPIG:R7
0002190
This Patient Information and Instructions for Use have been approved by the U.S. Food and Drug Administration.
Revised: 02/2023
Epinephrine Injection,
USP Auto-Injector 0.3 mg
one dose of 0.3 mg epinephrine, USP 0.3 mg/0.3 mL
Epinephrine Injection,
USP Auto-Injector 0.15 mg
one dose of 0.15 mg epinephrine, USP 0.15 mg/0.3 mL
For more information about epinephrine injection, USP auto-injectors and proper use of the product, call Mylan at 1-877-446-3679 or visit www.epipen.com.
Epinephrine Injection, Usp Auto-Injector Trainer
Instructions for Use
In an emergency: Do not use the gray Trainer. Use your real yellow epinephrine injection, USP auto-injector, 0.3 mg or real green epinephrine injection, USP auto-injector, 0.15 mg.
Important Information
- The Trainer label has a gray color.
- The Trainer contains no medicine and no needle. The orange end of the Trainer is the needle end of the real yellow epinephrine injection, USP auto-injector, 0.3 mg or real green epinephrine injection, USP auto-injector, 0.15 mg.
- Regularly practice with the gray Trainer in non-emergency situations to make sure you are able to safely use the real yellow epinephrine injection, USP auto-injector, 0.3 mg or real green epinephrine injection, USP auto-injector, 0.15 mg in an emergency situation.
- Always carry your 2 real yellow epinephrine injection, USP auto-injectors, 0.3 mg or real green epinephrine injection, USP auto-injectors, 0.15 mg in case of an allergic emergency.
- In an actual emergency, you need to use your real yellow epinephrine injection, USP auto-injector, 0.3 mg or real green epinephrine injection, USP auto-injector, 0.15 mg immediately. You should get emergency medical help right away after using your real yellow epinephrine injection, USP auto-injector, 0.3 mg or real green epinephrine injection, USP auto-injector, 0.15 mg.
- When receiving the real yellow epinephrine injection, USP auto-injector, 0.3 mg or real green epinephrine injection, USP auto-injector, 0.15 mg and before you need to use the real yellow epinephrine injection, USP auto-injector, 0.3 mg or real green epinephrine injection, USP auto-injector, 0.15 mg, check the auto-injector to make sure the blue safety top is not raised (see Patient Information leaflet). If the blue safety top is raised, the auto-injector should not be usedbecause the device could activate by accident. Do nottry to push the blue safety top back down. Put the auto-injector back in the protective case and replace it with a new real yellow epinephrine injection, USP auto-injector, 0.3 mg or real green epinephrine injection, USP auto-injector, 0.15 mg.
- Choking hazard:The blue safety top is a small part that may become a choking hazard for children. Put the blue safety top back on the Trainer and reset it immediately after practicing.
- Keep the gray Trainer away from young children. The Trainer is not a toy. Children should only practice with the Trainer under adult supervision.
- Carefully read the Instructions for Use for the real yellow epinephrine injection, USP auto-injector, 0.3 mg or real green epinephrine injection, USP auto-injector, 0.15 mg in a non-emergency situation and make sure you understand them before using the real yellow epinephrine injection, USP auto-injector, 0.3 mg or real green epinephrine injection, USP auto-injector, 0.15 mg
- The Trainer Instructions for Use
- The “Patient Information” leaflet that comes with your epinephrine injection, USP auto-injector
- Anyone who may be able to administer the epinephrine injection, USP auto-injector should know how to help you during an allergic emergency. Before an emergency occurs, have them:
- Regularly practice preparing the Trainer for injection and simulating an injection
- Read the Trainer Instructions for Use and the “Patient Information” leaflet
The Epinephrine Injection, USP Auto-Injector Trainer
Familiarize yourself with this gray Trainer. Practice until you are comfortable using it.
Your gray Trainer:
Caution: Know the difference between the Trainer and your real yellow epinephrine injection, USP auto-injector, 0.3 mg or real green epinephrine injection, USP
Important differences between the Trainer and your real yellow epinephrine injection, USP auto-injector, 0.3 mg or real green epinephrine injection, USP auto-injector, 0.15 mg
Trainer (Gray) | Epinephrine Injection, USP Auto-Injector, 0.3 mg (Yellow) | Epinephrine Injection, USP Auto-Injector, 0.15 mg (Green) | |
Contains medicine? | No | Yes | Yes |
Has needle? | No | Yes | Yes |
Comes in Protective Case? | No | Yes | Yes |
Color of Label? | Gray | Yellow | Green |
Has expiration date? | No | Yes | Yes |
Can be reused? | Yes | No(use only one time) | No(use only one time) |
Okay to remove and replace blue safety top? | Yes | No(remove just one time before use) | No(remove just one time before use) |
Pressure needed to hold against thigh? | Moderate | Strong | Strong |
Practice Instructions
Using the Trainer | |
Step 1 Pull off the blue safety top (Figure B) Grip the gray Trainer with one hand and with the orange end pointing down. Use the other hand to remove the blue safety top. Pull it straight up and away.
Warning: Do notflip the blue safety top off using a thumb or by pulling it sideways or by bending and twisting the blue safety top. This may cause the real yellow epinephrine injection, USP auto-injector, 0.3 mg or real green epinephrine injection, USP auto-injector, 0.15 mg to accidentally activate. An epinephrine injection, USP auto-injector that has been activated by accident cannot be used for a patient in an emergency and must be replaced. | |
Step 2 Trainer injection simulation by self (Figure C) or caregiver (Figure D) administration Place the orange end against the outer thigh, over clothing if needed.
Note:The Trainer makes a distinct pop sound when pushed against the thigh. This is normal and means that the auto-injector is working. After the pop, continue to press the Trainer down firmly on the outer thigh for 3 seconds. | |
Step 3 Check if used (Figure E) Lift the Trainer straight out from the thigh. Inspect: The Trainer was activated correctly if the orange end is extended. If the orange end is not extended, repeat Step 1 and Step 2. | |
Step 4 Reset the Trainer (Figure F) Put the blue safety top back on the Trainer immediately. Place the orange end on a hard surface. Squeeze the sides of the orange end and push down on the Trainer with the other hand. Note:This resetting step should never be used with a real yellow epinephrine injection, USP auto-injector, 0.3 mg or real green epinephrine injection, USP auto-injector, 0.15 mg as this may result in injury. Never put your thumb, other fingers, or hand over the orange (needle) end of the real yellow epinephrine injection, USP auto-injector, 0.3 mg or real green epinephrine injection, USP auto-injector, 0.15 mg. | |
Practice Session Information
In case of an allergic emergency, use the real yellow epinephrine injection, USP auto-injector, 0.3 mg or real green epinephrine injection, USP auto-injector, 0.15 mg and not the gray Trainer.
Follow instructions above. Repeat as often as needed until you are able to inject quickly and correctly. Regularly practice with the Trainer to make sure that you are able to use the real yellow epinephrine injection, USP auto-injector, 0.3 mg or real green epinephrine injection, USP auto-injector, 0.15 mg in an emergency situation.
Reread:
Train others who could help you in an emergency:
For more information about Epinephrine Injection, USP auto-injectors and the proper use of the products, go to www.epipen.com.
Manufactured for Mylan Specialty L.P., Morgantown, WV 26505, U.S.A. by
Meridian Medical Technologies, LLC
St. Louis, MO 63146, USA
EpiPen ®and EpiPen Jr ®are registered trademarks of Mylan Inc., a Viatris Company.
Authorized generic for EpiPen ®and EpiPen Jr ®auto-injectors
Copyright © 2022 Meridian Medical Technologies. All rights reserved.
This Trainer Instructions for Use has been approved by the U.S. Food and Drug Administration.
Revised: 02/2023
MS:EPITG:R7
0002191
Principal Display Panel – 0.3 Mg
NDC 49502-102-02
Rx only
Epinephrine Injection, USP
Single-Dose Auto-Injectors 0.3 mg
For Allergic Emergencies (Anaphylaxis)
Each carton contains:
Two Epinephrine Injection, USP
auto-injectors in protective cases
Patient Information
Leaflet & Trainer
Instructions for Use
One gray
Trainer
Never put thumb, fingers or hand over orange needle end.
Do not remove blue safety top until ready to use.
Contains 2
Epinephrine Injection, USPauto-injectors and 1 Trainer.
Each
Epinephrine Injection, USPauto-injector delivers one 0.3 mg
intramuscular dose of epinephrine from epinephrine injection, USP
0.3 mg/0.3 mL. Each 0.3 mL also contains 1.8 mg sodium chloride and
0.5 mg sodium metabisulfite. Discard unit after use. The Trainer
contains no medicine and no needle. Read enclosed Patient
Information Lea‑et carefully before using.
Usual dosage: See insert.
Replace if discolored.
Store at 68° to 77°F (20° to 25°C).
Do not refrigerate or freeze.
Protect from heat and light.
EpiPen
®or EpiPen Jr
®are registered trademarks of
Mylan Inc., a Viatris Company.
Mfd. for Mylan Specialty L.P., Morgantown, WV 26505, USA
by Meridian Medical Technologies, LLC
St. Louis, MO 63146, USA
Copyright© 2020 Meridian Medical Technologies. All rights reserved.
Principal Display Panel – 0.15 Mg
NDC 49502-101-02
Rx only
Epinephrine Injection, USP
Single-Dose Auto-Injectors 0.15 mg
For Allergic Emergencies (Anaphylaxis)
This carton contains:
Two Epinephrine Injection, USP
auto-injectors in protective cases
Patient Information
Leaflet & Trainer
Instructions for Use
One gray
Trainer
The Epinephrine Injection, USP auto-injector and Trainer are not toys and should be used
under adult supervision.
Never put thumb, fingers or hand over orange needle end.
Do not remove blue safety top until ready to use.
Contains 2
Epinephrine Injection, USPauto-injectors and 1 Trainer.
Each
Epinephrine Injection, USPauto-injector delivers one 0.15 mg
intramuscular dose of epinephrine from epinephrine injection, USP
0.15 mg/0.3 mL. Each 0.3 mL also contains 1.8 mg sodium chloride
and 0.5 mg sodium metabisulfite. Discard unit after use. The Trainer
contains no medicine and no needle. Read enclosed Patient
Information Lea‑et carefully before using.
Usual dosage: See insert.
Mfd. for Mylan Specialty L.P., Morgantown, WV 26505, USA
by Meridian Medical Technologies, LLC
St. Louis, MO 63146, USA
Copyright © 2022 Meridian Medical Technologies. All rights reserved.
Replace if discolored.
Store at 68° to 77°F (20° to 25°C).
Do not refrigerate or freeze.
Protect from heat and light.
EpiPen
®or EpiPen Jr
®are registered trademarks of
Mylan Inc., a Viatris Company.
Mfd. for Mylan Specialty L.P., Morgantown, WV 26505 USA
by Meridian Medical Technologies, LLC
St. Louis, MO 63146 USA
Copyright© 2020 Meridian Medical Technologies. All rights reserved.
* Please review the disclaimer below.




