FDA Label for Cleocin Phosphate
View Indications, Usage & Precautions
- OTHER
- WARNING
- DESCRIPTION
- DISTRIBUTION
- METABOLISM
- EXCRETION
- PATIENTS WITH RENAL/HEPATIC IMPAIRMENT
- ELDERLY PATIENTS
- OBESE CHILDREN AND OBESE YOUNG ADULTS
- MECHANISM OF ACTION
- RESISTANCE
- ANTIMICROBIAL ACTIVITY
- SUSCEPTIBILITY TESTING
- INDICATIONS AND USAGE
- CONTRAINDICATIONS
- WARNINGS
- CLOSTRIDIUM DIFFICILE ASSOCIATED DIARRHEA
- ANAPHYLACTIC AND SEVERE HYPERSENSITIVITY REACTIONS
- BENZYL ALCOHOL TOXICITY IN PEDIATRIC PATIENTS ("GASPING SYNDROME")
- USAGE IN MENINGITIS
- GENERAL
- INFORMATION FOR PATIENTS
- LABORATORY TESTS
- DRUG INTERACTIONS
- CARCINOGENESIS, MUTAGENESIS, IMPAIRMENT OF FERTILITY
- TERATOGENIC EFFECTS
- NURSING MOTHERS
- PEDIATRIC USE
- USAGE IN NEWBORNS AND INFANTS
- GERIATRIC USE
- ADVERSE REACTIONS
- OVERDOSAGE
- DOSAGE AND ADMINISTRATION
- PARENTERAL (IM OR IV ADMINISTRATION)
- NEONATES (LESS THAN 1 MONTH)
- PARENTERAL (IM OR IV) ADMINISTRATION
- DILUTION FOR IV USE AND IV INFUSION RATES
- DILUTION AND COMPATIBILITY
- ROOM TEMPERATURE
- REFRIGERATION
- FROZEN
- PHARMACY BULK PACKAGE — NOT FOR DIRECT INFUSION
- CLEOCIN PHOSPHATE IV SOLUTION IN GALAXY PLASTIC CONTAINER
- PREPARATION OF CLEOCIN PHOSPHATE IN ADD-VANTAGE SYSTEM
- HOW SUPPLIED
- STORAGE AND HANDLING
- REFERENCES
- CLEOCIN PHOSPHATE ®CLINDAMYCIN STERILE SOLUTION FOR INJECTION, USP IN ADD-VANTAGE ® VIAL
- PRINCIPAL DISPLAY PANEL - 9,000 MG/60 ML VIAL BULK LABEL
- PRINCIPAL DISPLAY PANEL - OUTER PACKAGE
Cleocin Phosphate Product Label
The following document was submitted to the FDA by the labeler of this product Medical Purchasing Solutions, Llc. The document includes published materials associated whith this product with the essential scientific information about this product as well as other prescribing information. Product labels may durg indications and usage, generic names, contraindications, active ingredients, strength dosage, routes of administration, appearance, warnings, inactive ingredients, etc.
Other
To reduce the development of drug-resistant bacteria and maintain the effectiveness of CLEOCIN PHOSPHATE and other antibacterial drugs, CLEOCIN PHOSPHATE should be used only to treat or prevent infections that are proven or strongly suspected to be caused by bacteria.
Sterile Solution is for Intramuscular and Intravenous Use
CLEOCIN PHOSPHATE in the ADD-Vantage® Vial is For Intravenous Use Only
ADD-Vantage ® is a registered trademark of Hospira Inc.
CLEOCIN PHOSPHATE IV Solution in GALAXY plastic containers is manufactured for Pfizer Inc by Baxter Healthcare Corporation, Deerfield, IL 60015.
Galaxy and Mini-Bag are registered trademarks of Baxter International Inc.
This product's label may have been updated. For current full prescribing information, please visit www.pfizer.com.
LAB-0044-23.0
Revised: 1/2020
Warning
Clostridium difficile-associated diarrhea (CDAD) has been reported with use of nearly all antibacterial agents, including CLEOCIN PHOSPHATE and may range in severity from mild diarrhea to fatal colitis. Treatment with antibacterial agents alters the normal flora of the colon leading to overgrowth of C. difficile.
Because CLEOCIN PHOSPHATE therapy has been associated with severe colitis which may end fatally, it should be reserved for serious infections where less toxic antimicrobial agents are inappropriate, as described in the INDICATIONS AND USAGE section. It should not be used in patients with nonbacterial infections such as most upper respiratory tract infections. C. difficile produces toxins A and B which contribute to the development of CDAD. Hypertoxin producing strains of C. difficile cause increased morbidity and mortality, as these infections can be refractory to antimicrobial therapy and may require colectomy. CDAD must be considered in all patients who present with diarrhea following antibiotic use. Careful medical history is necessary since CDAD has been reported to occur over two months after the administration of antibacterial agents.
If CDAD is suspected or confirmed, ongoing antibiotic use not directed against C. difficile may need to be discontinued. Appropriate fluid and electrolyte management, protein supplementation, antibiotic treatment of C. difficile, and surgical evaluation should be instituted as clinically indicated.
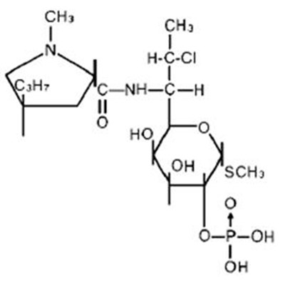
Description
CLEOCIN PHOSPHATE Sterile Solution in vials contains clindamycin phosphate, a water soluble ester of clindamycin and phosphoric acid. Each mL contains the equivalent of 150 mg clindamycin, 0.5 mg disodium edetate and 9.45 mg benzyl alcohol added as preservative in each mL. Clindamycin is a semisynthetic antibiotic produced by a 7(S)-chloro-substitution of the 7(R)-hydroxyl group of the parent compound lincomycin.
The chemical name of clindamycin phosphate is L- threo-α-D- galacto-Octopyranoside, methyl-7-chloro-6,7,8-trideoxy-6-[[(1-methyl-4-propyl-2-pyrrolidinyl)carbonyl] amino]-1-thio-, 2-(dihydrogen phosphate), (2 S-trans)-.
The molecular formula is C 18H 34CIN 20 8PS and the molecular weight is 504.96.
The structural formula is represented below:
CLEOCIN PHOSPHATE in the ADD-Vantage Vial is intended for intravenous use only after further dilution with appropriate volume of ADD-Vantage diluent base solution (see Directions for Use) .
CLEOCIN PHOSPHATE IV Solution in the GALAXY plastic container for intravenous use is composed of clindamycin phosphate equivalent to 300, 600 and 900 mg of clindamycin premixed with 5% dextrose as a sterile solution. Disodium edetate has been added at a concentration of 0.04 mg/mL. The pH has been adjusted with sodium hydroxide and/or hydrochloric acid.
The plastic container is fabricated from a specially designed multilayer plastic, PL 2501. Solutions in contact with the plastic container can leach out certain of its chemical components in very small amounts within the expiration period. The suitability of the plastic has been confirmed in tests in animals according to the USP biological tests for plastic containers, as well as by tissue culture toxicity studies.
Distribution
Biologically inactive clindamycin phosphate is converted to active clindamycin. By the end of short-term intravenous infusion, peak serum concentrations of active clindamycin are reached.
After intramuscular injection of clindamycin phosphate, peak concentrations of active clindamycin are reached within 3 hours in adults and 1 hour in pediatric patients. Serum concentration-time curves may be constructed from IV peak serum concentrations as given in Table 1 by application of elimination half-lives (see Excretion).
Serum concentrations of clindamycin can be maintained above the in vitro minimum inhibitory concentrations for most indicated organisms by administration of clindamycin phosphate every 8 to 12 hours in adults and every 6 to 8 hours in pediatric patients, or by continuous intravenous infusion. An equilibrium state is reached by the third dose.
No significant concentrations of clindamycin are attained in the cerebrospinal fluid even in the presence of inflamed meninges.
Metabolism
In vitro studies in human liver and intestinal microsomes indicated that clindamycin is predominantly metabolized by Cytochrome P450 3A4 (CYP3A4), with minor contribution from CYP3A5, to form clindamycin sulfoxide and a minor metabolite, N-desmethylclindamycin.
Excretion
Biologically inactive clindamycin phosphate disappears from the serum with 6 minutes of the average elimination half-life; however, the average serum elimination half-life of active clindamycin is about 3 hours in adults and 2½ hours in pediatric patients.
Patients With Renal/Hepatic Impairment
The elimination half-life of clindamycin is increased slightly in patients with markedly reduced renal or hepatic function. Hemodialysis and peritoneal dialysis are not effective in removing clindamycin from the serum. Dosage schedules need not be modified in the presence of mild or moderate renal or hepatic disease.
Elderly Patients
Pharmacokinetic studies in elderly volunteers (61–79 years) and younger adults (18–39 years) indicate that age alone does not alter clindamycin pharmacokinetics (clearance, elimination half-life, volume of distribution, and area under the serum concentration-time curve) after IV administration of clindamycin phosphate. After oral administration of clindamycin hydrochloride, the average elimination half-life is increased to approximately 4.0 hours (range 3.4–5.1 h) in the elderly, compared to 3.2 hours (range 2.1–4.2 h) in younger adults. The extent of absorption, however, is not different between age groups and no dosage alteration is necessary for the elderly with normal hepatic function and normal (age-adjusted) renal function 1.
| Dosage Regimen | Peak
mcg/mL | Trough
mcg/mL |
|---|---|---|
| Healthy Adult Males
(Post equilibrium) | ||
| 600 mg IV in 30 min q6h | 10.9 | 2.0 |
| 600 mg IV in 30 min q8h | 10.8 | 1.1 |
| 900 mg IV in 30 min q8h | 14.1 | 1.7 |
| 600 mg IM q12h
Data in this group from patients being treated for infection. | 9 | |
| Pediatric Patients (first dose)
| ||
| 5–7 mg/kg IV in 1 hour | 10 | |
| 5–7 mg/kg IM | 8 | |
| 3–5 mg/kg IM | 4 |
Obese Children And Obese Young Adults
An analysis of pharmacokinetic data in obese children and obese young adults (2–20 years) demonstrated that clindamycin clearance and volume of distribution normalized by total body weight in these patients are comparable to those in children (and young adults) with normal body weight.
Mechanism Of Action
Clindamycin inhibits bacterial protein synthesis by binding to the 23S RNA of the 50S subunit of the ribosome. Clindamycin is bacteriostatic.
Resistance
Resistance to clindamycin is most often caused by modification of specific bases of the 23S ribosomal RNA. Cross-resistance between clindamycin and lincomycin is complete. Because the binding sites for these antibacterial drugs overlap, cross-resistance is sometimes observed among lincosamides, macrolides and streptogramin B.Macrolide-inducible resistance to clindamycin occurs in some isolates of macrolide-resistant bacteria. Macrolide-resistant isolates of staphylococci and beta-hemolytic streptococci should be screened for induction of clindamycin resistance using the D-zone test.
Antimicrobial Activity
Clindamycin has been shown to be active against most of the isolates of the following microorganisms, both in vitro and in clinical infections [see Indications and Usage (1)] :
Gram-positive bacteria
- Staphylococcus aureus (methicillin-susceptible strains)
- Streptococcus pneumoniae (penicillin-susceptible strains)
- Streptococcus pyogenes
- Clostridium perfringens
- Fusobacterium necrophorum
- Fusobacterium nucleatum
- Peptostreptococcus anaerobius
- Prevotella melaninogenica
- Staphylococcus epidermidis (methicillin-susceptible strains)
- Streptococcus agalactiae
- Streptococcus anginosus
- Streptococcus mitis
- Streptococcus oralis
- Actinomyces israelii
- Clostridium clostridioforme
- Eggerthella lenta
- Finegoldia (Peptostreptococcus) magna
- Micromonas (Peptostreptococcus) micros
- Prevotella bivia
- Prevotella intermedia
- Propionibacterium acnes
Anaerobic bacteria
The following in vitro data are available, but their clinical significance is unknown. At least 90 percent of the following bacteria exhibit an in vitro minimum inhibitory concentration (MIC) less than or equal to the susceptible breakpoint for clindamycin against isolates of a similar genus or organism group. However, the efficacy of clindamycin in treating clinical infections due to these bacteria has not been established in adequate and well-controlled clinical trials.
Gram-positive bacteria
Anaerobic bacteria
Susceptibility Testing
For specific information regarding susceptibility test interpretive criteria and associated test methods and quality control standards recognized by FDA for this drug, please see: https://www.fda.gov/STIC.
Indications And Usage
CLEOCIN PHOSPHATE products are indicated in the treatment of serious infections caused by susceptible anaerobic bacteria.
CLEOCIN PHOSPHATE products are also indicated in the treatment of serious infections due to susceptible strains of streptococci, pneumococci, and staphylococci. Its use should be reserved for penicillin-allergic patients or other patients for whom, in the judgment of the physician, a penicillin is inappropriate. Because of the risk of antibiotic-associated pseudomembranous colitis, as described in the BOXED WARNING, before selecting clindamycin the physician should consider the nature of the infection and the suitability of less toxic alternatives (e.g., erythromycin).
Bacteriologic studies should be performed to determine the causative organisms and their susceptibility to clindamycin.
Indicated surgical procedures should be performed in conjunction with antibiotic therapy.
CLEOCIN PHOSPHATE is indicated in the treatment of serious infections caused by susceptible strains of the designated organisms in the conditions listed below:
Lower respiratory tract infections including pneumonia, empyema, and lung abscess caused by anaerobes, Streptococcus pneumoniae, other streptococci (except E. faecalis), and Staphylococcus aureus.
Skin and skin structure infections caused by Streptococcus pyogenes, Staphylococcus aureus, and anaerobes.
Gynecological infections including endometritis, nongonococcal tubo-ovarian abscess, pelvic cellulitis, and postsurgical vaginal cuff infection caused by susceptible anaerobes.
Intra-abdominal infections including peritonitis and intra-abdominal abscess caused by susceptible anaerobic organisms.
Septicemia caused by Staphylococcus aureus, streptococci (except Enterococcus faecalis), and susceptible anaerobes.
Bone and joint infections including acute hematogenous osteomyelitis caused by Staphylococcus aureus and as adjunctive therapy in the surgical treatment of chronic bone and joint infections due to susceptible organisms.
To reduce the development of drug-resistant bacteria and maintain the effectiveness of CLEOCIN PHOSPHATE and other antibacterial drugs, CLEOCIN PHOSPHATE should be used only to treat or prevent infections that are proven or strongly suspected to be caused by susceptible bacteria. When culture and susceptibility information are available, they should be considered in selecting or modifying antibacterial therapy. In the absence of such data, local epidemiology and susceptibility patterns may contribute to the empiric selection of therapy.
Contraindications
This drug is contraindicated in individuals with a history of hypersensitivity to preparations containing clindamycin or lincomycin.
Warnings
See BOXED WARNING.
Clostridium Difficile Associated Diarrhea
Clostridium difficile associated diarrhea (CDAD) has been reported with use of nearly all antibacterial agents, including CLEOCIN PHOSPHATE, and may range in severity from mild diarrhea to fatal colitis. Treatment with antibacterial agents alters the normal flora of the colon leading to overgrowth of C. difficile.
C. difficile produces toxins A and B which contribute to the development of CDAD. Hypertoxin producing strains of C. difficile cause increased morbidity and mortality, as these infections can be refractory to antimicrobial therapy and may require colectomy. CDAD must be considered in all patients who present with diarrhea following antibiotic use. Careful medical history is necessary since CDAD has been reported to occur over two months after the administration of antibacterial agents.
If CDAD is suspected or confirmed, ongoing antibiotic use not directed against C. difficile may need to be discontinued. Appropriate fluid and electrolyte management, protein supplementation, antibiotic treatment of C. difficile, and surgical evaluation should be instituted as clinically indicated.
Anaphylactic And Severe Hypersensitivity Reactions
Anaphylactic shock and anaphylactic reactions have been reported (see ADVERSE REACTIONS) .
Severe hypersensitivity reactions, including severe skin reactions such as toxic epidermal necrolysis (TEN), drug reaction with eosinophilia and systemic symptoms (DRESS), and Stevens-Johnson syndrome (SJS), some with fatal outcome, have been reported (see ADVERSE REACTIONS) .
In case of such an anaphylactic or severe hypersensitivity reaction, discontinue treatment permanently and institute appropriate therapy.
A careful inquiry should be made concerning previous sensitivities to drugs and other allergens.
Benzyl Alcohol Toxicity In Pediatric Patients ("Gasping Syndrome")
This product contains benzyl alcohol as a preservative. The preservative benzyl alcohol has been associated with serious adverse events, including the "gasping syndrome", and death in pediatric patients. Although normal therapeutic doses of this product ordinarily deliver amounts of benzyl alcohol that are substantially lower than those reported in association with the "gasping syndrome", the minimum amount of benzyl alcohol at which toxicity may occur is not known.
The risk of benzyl alcohol toxicity depends on the quantity administered and the liver and kidneys' capacity to detoxify the chemical. Premature and low birth weight infants may be more likely to develop toxicity.
Usage In Meningitis
Since clindamycin does not diffuse adequately into the cerebrospinal fluid, the drug should not be used in the treatment of meningitis.
General
Review of experience to date suggests that a subgroup of older patients with associated severe illness may tolerate diarrhea less well. When clindamycin is indicated in these patients, they should be carefully monitored for change in bowel frequency.
CLEOCIN PHOSPHATE products should be prescribed with caution in individuals with a history of gastrointestinal disease, particularly colitis.
CLEOCIN PHOSPHATE should be prescribed with caution in atopic individuals.
Certain infections may require incision and drainage or other indicated surgical procedures in addition to antibiotic therapy.
The use of CLEOCIN PHOSPHATE may result in overgrowth of nonsusceptible organisms-particularly yeasts. Should superinfections occur, appropriate measures should be taken as indicated by the clinical situation.
CLEOCIN PHOSPHATE should not be injected intravenously undiluted as a bolus, but should be infused over at least 10–60 minutes as directed in the DOSAGE AND ADMINISTRATION section.
Clindamycin dosage modification may not be necessary in patients with renal disease. In patients with moderate to severe liver disease, prolongation of clindamycin half-life has been found. However, it was postulated from studies that when given every eight hours, accumulation should rarely occur. Therefore, dosage modification in patients with liver disease may not be necessary. However, periodic liver enzyme determinations should be made when treating patients with severe liver disease.
Prescribing CLEOCIN PHOSPHATE in the absence of a proven or strongly suspected bacterial infection or a prophylactic indication is unlikely to provide benefit to the patient and increases the risk of the development of drug-resistant bacteria.
Information For Patients
Patients should be counseled that antibacterial drugs including CLEOCIN PHOSPHATE should only be used to treat bacterial infections. They do not treat viral infections (e.g., the common cold). When CLEOCIN PHOSPHATE is prescribed to treat a bacterial infection, patients should be told that although it is common to feel better early in the course of therapy, the medication should be taken exactly as directed. Skipping doses or not completing the full course of therapy may (1) decrease the effectiveness of the immediate treatment and (2) increase the likelihood that bacteria will develop resistance and will not be treatable by CLEOCIN PHOSPHATE or other antibacterial drugs in the future.
Diarrhea is a common problem caused by antibiotics which usually ends when the antibiotic is discontinued. Sometimes after starting treatment with antibiotics, patients can develop watery and bloody stools (with or without stomach cramps and fever) even as late as two or more months after having taken the last dose of the antibiotic. If this occurs, patients should contact their physician as soon as possible.
Laboratory Tests
During prolonged therapy periodic liver and kidney function tests and blood counts should be performed.
Drug Interactions
Clindamycin has been shown to have neuromuscular blocking properties that may enhance the action of other neuromuscular blocking agents. Therefore, it should be used with caution in patients receiving such agents.
Clindamycin is metabolized predominantly by CYP3A4, and to a lesser extent by CYP3A5, to the major metabolite clindamycin sulfoxide and minor metabolite N-desmethylclindamycin. Therefore, inhibitors of CYP3A4 and CYP3A5 may increase plasma concentrations of clindamycin and inducers of these isoenzymes may reduce plasma concentrations of clindamycin. In the presence of strong CYP3A4 inhibitors, monitor for adverse reactions. In the presence of strong CYP3A4 inducers such as rifampicin, monitor for loss of effectiveness.
In vitro studies indicate that clindamycin does not inhibit CYP1A2, CYP2C9, CYP2C19, CYP2E1 or CYP2D6 and only moderately inhibits CYP3A4.
Carcinogenesis, Mutagenesis, Impairment Of Fertility
Long term studies in animals have not been performed with clindamycin to evaluate carcinogenic potential. Genotoxicity tests performed included a rat micronucleus test and an Ames Salmonella reversion test. Both tests were negative.
Fertility studies in rats treated orally with up to 300 mg/kg/day (approximately 1.1 times the highest recommended adult human dose based on mg/m 2) revealed no effects on fertility or mating ability.
Teratogenic Effects
In clinical trials with pregnant women, the systemic administration of clindamycin during the second and third trimesters, has not been associated with an increased frequency of congenital abnormalities.
Clindamycin should be used during the first trimester of pregnancy only if clearly needed. There are no adequate and well-controlled studies in pregnant women during the first trimester of pregnancy. Because animal reproduction studies are not always predictive of the human response, this drug should be used during pregnancy only if clearly needed.
Reproduction studies performed in rats and mice using oral doses of clindamycin up to 600 mg/kg/day (2.1 and 1.1 times the highest recommended adult human dose based on mg/m 2, respectively) or subcutaneous doses of clindamycin up to 250 mg/kg/day (0.9 and 0.5 times the highest recommended adult human dose based on mg/m 2, respectively) revealed no evidence of teratogenicity.
CLEOCIN PHOSPHATE Sterile Solution contains benzyl alcohol. Benzyl alcohol can cross the placenta. See WARNINGS.
Nursing Mothers
Limited published data based on breast milk sampling reports that clindamycin appears in human breast milk in the range of less than 0.5 to 3.8 mcg/mL at dosages of 150 mg orally to 600 mg intravenously. Clindamycin has the potential to cause adverse effects on the breast-fed infant's gastrointestinal flora. If oral or intravenous clindamycin is required by a nursing mother, it is not a reason to discontinue breastfeeding, but an alternate drug may be preferred. Monitor the breast-fed infant for possible adverse effects on the gastrointestinal flora, such as diarrhea, candidiasis (thrush, diaper rash) or rarely, blood in the stool indicating possible antibiotic-associated colitis.
The developmental and health benefits of breastfeeding should be considered along with the mother's clinical need for clindamycin and any potential adverse effects on the breast-fed child from clindamycin or from the underlying maternal condition.
Pediatric Use
When CLEOCIN PHOSPHATE Sterile Solution is administered to the pediatric population (birth to 16 years) appropriate monitoring of organ system functions is desirable.
Usage In Newborns And Infants
This product contains benzyl alcohol as a preservative. Benzyl alcohol has been associated with a fatal "Gasping Syndrome" in premature infants. See WARNINGS.
The potential for the toxic effect in the pediatric population from chemicals that may leach from the single dose premixed IV preparation in plastic has not been evaluated. See WARNINGS.
Geriatric Use
Clinical studies of clindamycin did not include sufficient numbers of patients age 65 and over to determine whether they respond differently from younger patients. However, other reported clinical experience indicates that antibiotic-associated colitis and diarrhea (due to Clostridium difficile) seen in association with most antibiotics occur more frequently in the elderly (>60 years) and may be more severe. These patients should be carefully monitored for the development of diarrhea.
Pharmacokinetic studies with clindamycin have shown no clinically important differences between young and elderly subjects with normal hepatic function and normal (age-adjusted) renal function after oral or intravenous administration.
Adverse Reactions
The following reactions have been reported with the use of clindamycin.
Infections and Infestations: Clostridium difficile colitis
Gastrointestinal: Antibiotic-associated colitis (see WARNINGS), pseudomembranous colitis, abdominal pain, nausea, and vomiting. The onset of pseudomembranous colitis symptoms may occur during or after antibacterial treatment (see WARNINGS). An unpleasant or metallic taste has been reported after intravenous administration of the higher doses of clindamycin phosphate.
Hypersensitivity Reactions: Maculopapular rash and urticaria have been observed during drug therapy. Generalized mild to moderate morbilliform-like skin rashes are the most frequently reported of all adverse reactions.
Severe skin reactions such as Toxic Epidermal Necrolysis, some with fatal outcome, have been reported (see WARNINGS). Cases of Acute Generalized Exanthematous Pustulosis (AGEP), erythema multiforme, some resembling Stevens-Johnson syndrome, have been associated with clindamycin. Anaphylactic shock, anaphylactic reaction and hypersensitivity have also been reported (see WARNINGS).
Skin and Mucous Membranes: Pruritus, vaginitis, angioedema and rare instances of exfoliative dermatitis have been reported (see Hypersensitivity Reactions).
Liver: Jaundice and abnormalities in liver function tests have been observed during clindamycin therapy.
Renal: Although no direct relationship of clindamycin to renal damage has been established, renal dysfunction as evidenced by azotemia, oliguria, and/or proteinuria has been observed.
Hematopoietic: Transient neutropenia (leukopenia) and eosinophilia have been reported. Reports of agranulocytosis and thrombocytopenia have been made. No direct etiologic relationship to concurrent clindamycin therapy could be made in any of the foregoing.
Immune System: Drug reaction with eosinophilia and systemic symptoms (DRESS) cases have been reported.
Local Reactions: Injection site irritation, pain, induration and sterile abscess have been reported after intramuscular injection and thrombophlebitis after intravenous infusion. Reactions can be minimized or avoided by giving deep intramuscular injections and avoiding prolonged use of indwelling intravenous catheters.
Musculoskeletal: Polyarthritis cases have been reported.
Cardiovascular: Cardiopulmonary arrest and hypotension have been reported following too rapid intravenous administration (see DOSAGE AND ADMINISTRATION).
Overdosage
Significant mortality was observed in mice at an intravenous dose of 855 mg/kg and in rats at an oral or subcutaneous dose of approximately 2618 mg/kg. In the mice, convulsions and depression were observed.
Hemodialysis and peritoneal dialysis are not effective in removing clindamycin from the serum.
Dosage And Administration
If diarrhea occurs during therapy, this antibiotic should be discontinued (see WARNING box).
Clindamycin phosphate IM administration should be used undiluted.
Clindamycin phosphate IV administration should be diluted (see Dilution for IV use and IV infusion rates below).
Parenteral (Im Or Iv Administration)
Serious infections due to aerobic gram-positive cocci and the more susceptible anaerobes (NOT generally including Bacteroides fragilis, Peptococcus species and Clostridium species other than Clostridium perfringens):
600–1200 mg/day in 2, 3 or 4 equal doses.
More severe infections, particularly those due to proven or suspected Bacteroides fragilis, Peptococcus species, or Clostridium species other than Clostridium perfringens:
1200–2700 mg/day in 2, 3 or 4 equal doses.
For more serious infections, these doses may have to be increased. In life-threatening situations due to either aerobes or anaerobes these doses may be increased. Doses of as much as 4800 mg daily have been given intravenously to adults. See Dilution for IV use and IV Infusion Rates section below.
Single intramuscular injections of greater than 600 mg are not recommended.
Alternatively, drug may be administered in the form of a single rapid infusion of the first dose followed by continuous IV infusion as follows:
| To maintain serum clindamycin levels | Rapid infusion rate | Maintenance infusion rate |
|---|---|---|
| Above 4 mcg/mL | 10 mg/min for 30 min | 0.75 mg/min |
| Above 5 mcg/mL | 15 mg/min for 30 min | 1.00 mg/min |
| Above 6 mcg/mL | 20 mg/min for 30 min | 1.25 mg/min |
Neonates (Less Than 1 Month)
15 to 20 mg/kg/day in 3 to 4 equal doses. The lower dosage may be adequate for small prematures.
Parenteral (Im Or Iv) Administration
20 to 40 mg/kg/day in 3 or 4 equal doses. The higher doses would be used for more severe infections. Clindamycin should be dosed based on total body weight regardless of obesity. As an alternative to dosing on a body weight basis, pediatric patients may be dosed on the basis of square meters body surface: 350 mg/m 2/day for serious infections and 450 mg/m 2/day for more severe infections.
Parenteral therapy may be changed to oral CLEOCIN PEDIATRIC ® Flavored Granules (clindamycin palmitate hydrochloride) or CLEOCIN HCl ® Capsules (clindamycin hydrochloride) when the condition warrants and at the discretion of the physician.
In cases of β-hemolytic streptococcal infections, treatment should be continued for at least 10 days.
Dilution For Iv Use And Iv Infusion Rates
The concentration of clindamycin in diluent for infusion should not exceed 18 mg per mL. Infusion rates should not exceed 30 mg per minute. The usual infusion dilutions and rates are as follows:
| Dose | Diluent | Time |
|---|---|---|
| 300 mg | 50 mL | 10 min |
| 600 mg | 50 mL | 20 min |
| 900 mg | 50–100 mL | 30 min |
| 1200 mg | 100 mL | 40 min |
Administration of more than 1200 mg in a single 1-hour infusion is not recommended.
Parenteral drug products should be inspected visually for particulate matter and discoloration prior to administration, whenever solution and container permit.
Dilution And Compatibility
Physical and biological compatibility studies monitored for 24 hours at room temperature have demonstrated no inactivation or incompatibility with the use of CLEOCIN PHOSPHATE Sterile Solution (clindamycin phosphate) in IV solutions containing sodium chloride, glucose, calcium or potassium, and solutions containing vitamin B complex in concentrations usually used clinically. No incompatibility has been demonstrated with the antibiotics cephalothin, kanamycin, gentamicin, penicillin or carbenicillin.
The following drugs are physically incompatible with clindamycin phosphate: ampicillin sodium, phenytoin sodium, barbiturates, aminophylline, calcium gluconate, and magnesium sulfate.
The compatibility and duration of stability of drug admixtures will vary depending on concentration and other conditions. For current information regarding compatibilities of clindamycin phosphate under specific conditions, please contact the Medical and Drug Information Unit, Pharmacia & Upjohn Company (Division of Pfizer Inc).
Room Temperature
6, 9 and 12 mg/mL (equivalent to clindamycin base) in dextrose injection 5%, sodium chloride injection 0.9%, or Lactated Ringers Injection in glass bottles or Mini-Bag containers, demonstrated physical and chemical stability for at least 16 days at 25°C. Also, 18 mg/mL (equivalent to clindamycin base) in dextrose injection 5%, in Mini-Bag containers, demonstrated physical and chemical stability for at least 16 days at 25°C.
Refrigeration
6, 9 and 12 mg/mL (equivalent to clindamycin base) in dextrose injection 5%, sodium chloride injection 0.9%, or Lactated Ringers Injection in glass bottles or Mini-Bag containers, demonstrated physical and chemical stability for at least 32 days at 4°C.
IMPORTANT: This chemical stability information in no way indicates that it would be acceptable practice to use this product well after the preparation time. Good professional practice suggests that compounded admixtures should be administered as soon after preparation as is feasible.
Frozen
6, 9 and 12 mg/mL (equivalent to clindamycin base) in dextrose injection 5%, sodium chloride injection 0.9%, or Lactated Ringers Injection in Mini-Bag containers demonstrated physical and chemical stability for at least eight weeks at -10°C.
Frozen solutions should be thawed at room temperature and not refrozen.
Pharmacy Bulk Package — Not For Direct Infusion
The Pharmacy Bulk Package is for use in a Pharmacy Admixture Service only under a laminar flow hood. Entry into the vial should be made with a small diameter sterile transfer set or other small diameter sterile dispensing device, and contents dispensed in aliquots using aseptic technique. Multiple entries with a needle and syringe are not recommended. AFTER ENTRY USE ENTIRE CONTENTS OF VIAL PROMPTLY. ANY UNUSED PORTION MUST BE DISCARDED WITHIN 24 HOURS AFTER INITIAL ENTRY.
Cleocin Phosphate Iv Solution In Galaxy Plastic Container
Premixed CLEOCIN PHOSPHATE IV Solution is for intravenous administration using sterile equipment. Check for minute leaks prior to use by squeezing bag firmly. If leaks are found, discard solution as sterility may be impaired. Do not add supplementary medication. Parenteral drug products should be inspected visually for particulate matter and discoloration prior to administration whenever solution and container permit. Do not use unless solution is clear and seal is intact.
Caution: Do not use plastic containers in series connections. Such use could result in air embolism due to residual air being drawn from the primary container before administration of the fluid from the secondary container is complete.
Preparation for Administration:
- Suspend container from eyelet support.
- Remove protector from outlet port at bottom of container.
- Attach administration set. Refer to complete directions accompanying set.
Preparation Of Cleocin Phosphate In Add-Vantage System
For IV Use Only. CLEOCIN PHOSPHATE 300 mg, 600 mg and 900 mg may be reconstituted in 50 mL (for 300 mg and 600 mg) or 100 mL (for 900 mg) of dextrose injection 5% or sodium chloride injection 0.9% in the ADD-diluent container. Refer to separate instructions for ADD-Vantage System.
How Supplied
Each mL of CLEOCIN PHOSPHATE Sterile Solution contains clindamycin phosphate equivalent to 150 mg clindamycin, 0.5 mg disodium edetate, 9.45 mg benzyl alcohol added as preservative. When necessary, pH is adjusted with sodium hydroxide and/or hydrochloric acid. CLEOCIN PHOSPHATE is available in the following packages:
| 25-2 mL vials | NDC 0009-0870-26 | |
| 25-4 mL vials | NDC 0009-0775-26 | |
| 25-6 mL vials | NDC 0009-0902-18 | |
| 5-60 mL Pharmacy Bulk Package | NDC 0009-0728-09 |
CLEOCIN PHOSPHATE is supplied in ADD-Vantage vials as follows:
| NDC | Vial Size | Total Clindamycin Phosphate/vial |
|---|---|---|
| 0009-6582-01 | 25-2 mL Vials | 300 mg |
| 0009-3124-03 | 25-4 mL Vials | 600 mg |
| 0009-3447-03 | 25-6 mL Vials | 900 mg |
CLEOCIN PHOSPHATE IV Solution in GALAXY plastic containers is a sterile solution of clindamycin phosphate with 5% dextrose. The single dose GALAXY plastic containers are available as follows:
| 24-300 mg/50 mL containers | NDC 0009-3381-02 |
| 24-600 mg/50 mL containers | NDC 0009-3375-02 |
| 24-900 mg/50 mL containers | NDC 0009-3382-02 |
Storage And Handling
Store at controlled room temperature 20° to 25°C (68° to 77°F) [see USP].
Exposure of pharmaceutical products to heat should be minimized. It is recommended that GALAXY plastic containers be stored at room temperature (25°C). Avoid temperatures above 30°C.
References
- Smith RB, Phillips JP: Evaluation of CLEOCIN HCl and CLEOCIN Phosphate in an Aged Population. Upjohn TR 8147-82-9122-021, December 1982.
Cleocin Phosphate ®Clindamycin Sterile Solution For Injection, Usp In Add-Vantage ® Vial
For Intravenous Use Only
NOT FOR INTRAMUSCULAR USE
INSTRUCTIONS FOR USE FOR ADD-VANTAGE SYSTEM—FOR IV USE ONLY
To Open Diluent Container:
Peel overwrap from the corner and remove container. Some opacity of the plastic due to moisture absorption during the sterilization process may be observed. This is normal and does not affect the solution quality or safety. The opacity will diminish gradually.
To Assemble Vial and Flexible Diluent Container:
(Use Aseptic Technique)
- Remove the protective covers from the top of the vial and the vial port on the diluent container as follows:
- To remove the breakaway vial cap, swing the pull ring over the top of the vial and pull down far enough to start the opening (SEE FIGURE 1.), then pull straight up to remove the cap. (SEE FIGURE 2.) NOTE: Once the breakaway cap has been removed, DO NOT ACCESS VIAL WITH SYRINGE.
- To remove the vial port cover, grasp the tab on the pull ring, pull up to break the three tie strings, then pull back to remove the cover. (SEE FIGURE 3.)
- Screw the vial into the vial port until it will go no farther. THE VIAL MUST BE SCREWED IN TIGHTLY TO ASSURE A SEAL. This occurs approximately 1/2 turn (180°) after the first audible click. (SEE FIGURE 4.) The clicking sound does not assure a seal; the vial must be turned as far as it will go. NOTE: Once the vial is seated, do not attempt to remove it. (SEE FIGURE 4.)
- Recheck the vial to assure that it is tight by trying to turn it further in the direction of assembly.
- Label appropriately.
- Squeeze the bottom of the diluent container gently to inflate the portion of the container surrounding the end of the drug vial.
- With the other hand, push the drug vial down into the container telescoping the walls of the container. Grasp the inner cap of the vial through the walls of the container. (SEE FIGURE 5.)
- Pull the inner cap from the drug vial. (SEE FIGURE 6.) Verify that the rubber stopper has been pulled out, allowing the drug and diluent to mix.
- Mix container contents thoroughly and use within the specified time.
- Confirm the activation and admixture of vial contents.
- Check for leaks by squeezing container firmly. If leaks are found, discard unit as sterility may be impaired.
- Close flow control clamp of administration set.
- Remove cover from outlet port at bottom of container.
- Insert piercing pin of administration set into port with a twisting motion until the pin is firmly seated. NOTE: See full directions on administration set carton.
- Lift the free end of the hanger loop on the bottom of the vial, breaking the two tie strings. Bend the loop outward to lock it in the upright position, then suspend container from hanger.
- Squeeze and release drip chamber to establish proper fluid level in chamber.
- Open flow control clamp and clear air from set. Close clamp.
- Attach set to venipuncture device. If device is not indwelling, prime and make venipuncture.
- Regulate rate of administration with flow control clamp.
To Prepare Admixture:
Preparation for Administration: (Use Aseptic Technique)
WARNING: Do not use flexible container in series connections.
ADD-Vantage ® is a registered trademark of Hospira Inc.
LAB-0050-4.0
Revised October 2013
Principal Display Panel - 9,000 Mg/60 Ml Vial Bulk Label
60 mL Pharmacy
Bulk Package
Cleocin
Phosphate
®
clindamycin injection, USP
9,000 mg/60 mL*
(150 mg/mL)
For intramuscular or intravenous use
Not for direct infusion
Rx only
Principal Display Panel - Outer Package
NDC 71872-7200-1
1 x 60 mL Pharmacy Bulk Package
Cleocin Phosphate®
clindamycin injection, USP
9,000 mg/60 mL*
(150 mg/mL)
For intramuscular or intravenous use
Not for direct infusion
Rx only
* Please review the disclaimer below.




