Product Images Gimoti

View Photos of Packaging, Labels & Appearance

Product Label Images

The following 8 images provide visual information about the product associated with Gimoti NDC 72089-307 by Evoke Pharma, Inc., such as packaging, labeling, and the appearance of the drug itself. This resource could be helpful for medical professionals, pharmacists, and patients seeking to verify medication information and ensure they have the correct product.

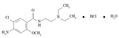
Chemical Structure - gimoti 01

Chemical Structure - gimoti 01

Image - gimoti 02

Image - gimoti 02

This appears to be a list of components for a spray bottle or similar device, including a spray nozzle, finger flange, safety clip, and glass bottle.*

Image - gimoti 03

Image - gimoti 03

Image - gimoti 04

Image - gimoti 04

Image - gimoti 05

Image - gimoti 05

Image - gimoti 06

Image - gimoti 06

Image - gimoti 07

Image - gimoti 07

PRINCIPAL DISPLAY PANEL - 9.8 mL Bottle Carton - gimoti 08

PRINCIPAL DISPLAY PANEL - 9.8 mL Bottle Carton - gimoti 08

This is a description for a medication called "Metoclopramide" in the form of a nasal spray. It contains 15mg of medication per spray and is for nasal use only. The medication comes in a container with a net content of 9.8 mL and 112 metered sprays. The prescription is only available under a doctor's order.*

* The product label images have been analyzed using a combination of traditional computing and machine learning techniques. It should be noted that the descriptions provided may not be entirely accurate as they are experimental in nature. Use the information in this page at your own discretion and risk.